Crenças
Crenças são enunciados considerados, por quem neles acredita, como verdadeiros a respeito da relação entre uma entidade e um atributo. Dado que quase nunca aparecem isoladas, as crenças se organizam sob a forma de sistemas.
A admissão do papel central das crenças na nossa vida é acentuado em alguns estudos, sendo particularmente significativo, para a presente pesquisa, o modelo realista dependente das crenças (Shermer, 2012), adotado prioritariamente para investigar as causas e as razões pelas quais as pessoas persistem em acolher as crenças de baixa credibilidade.
Figura 1: modelo realista dependente das crenças

A concepção realista dependente das crenças difere dos modelos clássicos sobre o crer por abandonar a posição cartesiana e se aproximar de uma perspectiva espinosiana (Gilbert, 1991). O fluxo da informação compatível com a perspectiva cartesiana clássica sustenta que a informação, presente no mundo real, deve ser ativamente buscada por um agente. Como um bom cartesiano, este agente duvida inicialmente de seu julgamento avaliativo e, por se tratar de um agente com inúmeras capacidades cognitivas, avalia sistematicamente cada uma das peças de informações até que se sinta, finalmente, em condições de proferir um julgamento acerca do valor de verdade daquilo em que ousa acreditar.
Numa perspectiva diametralmente oposta, a concepção realista dependente das crenças postula a existência de um mundo real e admite que as pessoas indiscriminadamente professam e difundem teorias sobre cada uma das dimensões da realidade que encontra ao alcance. O agente, a princípio, não duvida, uma vez que não dispõe de recursos cognitivos que lhe permita estabelecer algum contraste com as crenças hegemônicas. A dependência do agente em relação aos outros, sejam familiares, parentes, educadores ou especialistas, acaba por torna-lo particularmente propenso a acatar os pontos de vista hegemônicos sem estabelecer objeções dignas de nota. Apenas depois de estabelecida a crença, o agente se dispõe a buscar outras informações, especialmente se encontrar indícios que lhe permita duvidar daquilo em que acredita. A partir destas novas informações ele tanto pode vir a desenvolver arrazoados explanatórios que lhes permitirão duvidar daquilo que acredita, quanto elaborar ou buscar explicações que sejam compatíveis com o sistema de crenças previamente acolhido.
A presente pesquisa é dedicada ao estudo de dois sistemas de crenças, um denominado crenças cientificamente justificados (CJ) e um outro que encontra os seus fundamentos nas crenças tradicionais (CT). As crenças incluídas em cada um dos sistemas podem ser visualizadas no diagrama encontrado na figura 1.
Figura 1: diagrama das crenças incluídas nos sistemas de crenças tradicionais (CT) e cientificamente justificado (CJ)

Para avaliar as diferenças nos dois sistemas de crenças solicitamos aos participantes que distribuíssem as doze crenças por ordem de importância. Por sermos capazes de identificar que as crenças podem ser ordenadas em dois blocos, em consonância com o diagrama acima apresentado, será possível postular algumas hipóteses acerca dos sistemas de crenças. Esta suposição se fundamenta na noção de que o acolhimento de crenças dissonantes entre si gera um estado de tensão psicológico, que tende a ser resolvido mediante procedimentos de manutenção da consistência cognitiva. Se, por exemplo, alguém acredita na genética é de se esperar que também acredite na teoria da evolução ou em vacinas, ao tempo em que tenderá a evitar crer em entidades como anjos ou em eventos como milagres.
As hipóteses a serem testadas no presente estudo se fundamentam em dados obtidos em pesquisas previamente conduzidas no LEPPS/UFBa, entre os anos de 2015 e 2020. Antes de apresentá-las, convém assinalar que a tarefa solicitada aos participantes do estudo foi a de organizar as crenças segundo o critério de importância. A figura 2 representa a média das posições ocupadas por cada uma das crenças, sendo imperativo assinalar que por se tratar de uma medida de ranqueamento, os valores mais baixos indicam um grau de adesão mais intenso às crenças.
Figura 2: ordem de importância das crenças, agrupada por categoria

Ainda que os dados tenham sido obtidos com estudantes universitários, o que significa dizer que a generalização dos resultados para a população como um todo é um procedimento arriscado, eles evidenciam que os respondentes atribuíram maior importância às CJ em detrimento das CT, exceto no que concerne à crença em deus, cujo padrão de resposta é claramente distinto das outras cinco crenças tradicionais e a aproxima mais ao padrão encontrado nas CJ do que o identificado nas CT. Este resultado discrepante da crença em deus provavelmente reflete um padrão de resposta encontrado em muitos participantes que posicionaram a crença em deus em primeiro lugar, ordenaram sucessivamente as CJ e finalizaram com a distribuição das CT.
Para diferenciar estes dois sistemas rodamos, no software JASP, duas matrizes de correlação, uma para cada tipo de crença. Os valores das matrizes de correlação entre as CT, apresentada na tabela 1, permite identificar que as correlações entre quase todas as CT foram positivas e significativas, com os valores do rho de Spearman oscilando entre 0,108 e 0,409, exceto a correlação entre as crenças no milagre e no inferno cuja significância foi apenas marginal.
Tabela 1: matriz das correlações entre as seis crenças tradicionais

Com base nas considerações prévias, eis o enunciado da primeira hipótese:
Hipótese 1: As crenças tradicionais (CT) se correlacionarão positivamente entre si
Mediante o mesmo procedimento, geramos a matriz das correlações entre as crenças cientificamente justificadas, tal como se apresenta na tabela 2.
Tabela 2: matriz das correlações entre as seis crenças científicas

Os resultados evidenciaram, mais uma vez, a consistência entre as crenças que pertencem a um mesmo sistema, com valores do rho de Spearman estatisticamente significativos, oscilando entre 0,102 e 0,438. A partir destas evidências, a hipótese 2 pode ser enunciada nos seguintes termos:
Hipótese 2: As crenças cientificamente justificadas (CJ) se correlacionarão positivamente entre si
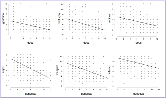
Para fundamentar a hipótese 3 elaboramos uma matriz de correlação entre todas as doze crenças, seis CT e seis CJ. Os resultados evidenciaram que quanto mais intensamente o participante do estudo acolhe uma crença tradicional, menos ele tende a acolher as crenças cientificamente justificadas. Para ilustrar este padrão de respostas plotamos no painel superior da figura 3 o diagrama de dispersão entre a crença cientificamente justificada que obteve valor mais alto, a genética, e algumas crenças tradicionais. Da mesma forma, plotamos no painel inferior da mesma figura o diagrama de dispersão da crença tradicional com valor mais alto, deus, com três crenças cientificamente justificadas.
Figura 3: diagrama de dispersão entre CT e CJ

Com base nestas considerações, enunciamos a hipótese 3, relativa às relações entre os diferentes tipo de crenças, nos seguintes termos:
Hipótese 3 : As crenças tradicionais e científicas se correlacionarão negativamente
Consideradas em conjunto, as três primeiras hipóteses sugerem diferentes visões de mundo entre os participantes. Imaginamos que eles acolhem um dos dois sistemas de crenças e postulamos que estas crenças sistematicamente organizadas interferem em processos psicológicos decisivos na nossa vida mental, a exemplo da percepção da realidade física e social, da maneira pela qual a atenção é orientada em relação a determinados padrões de eventos e a seletividade no armazenamento e na busca de informações na memória. Em suma, as crenças organizadas sob a forma de sistema são elementos decisivos na maneira pela qual o percebedor organiza a sua própria visão de mundo e a maneira pela qual interpreta a realidade física e social em que vive.
Instituições
O segundo constructo psicológico que fundamenta a nossa pesquisa é o conceito de confiança nas instituições. Durante a sua trajetória civilizacional, a espécie humana criou uma série de instituições, que com a passagem do tempo se tornaram cada vez mais indispensáveis nos labores necessários à sobrevivência.
As instituições podem ser formalmente definidas como padrões de conduta ou práticas sociais, que por se repetirem e serem objeto de sanções e de reforçamento se tornam quase obrigatoriamente seguidas pelos membros de uma dada sociedade (Abercrombie, Hill & Turner, 2006; Bruce & Yearley, 2006; Turner, 2006 ). Estas práticas sociais, em que pese sofrerem algumas mudanças, são suficientemente estáveis para que sejam vistas como naturais e não como o resultado de um contrato social.
Ainda que o sistema de sanções seja um elemento importante na definição acima apresentada, ao acolhermos as instituições somos convidados a seguir, e seguimos, uma série de regras sociais de convivência. Dado que as instituições nem sempre atendem bem às nossas necessidades de sobrevivência ou definem regras justas para a implementação das relações entre as pessoas e os grupos humanos, a percepção de legitimidade institucional é variável, estando sujeito às dinâmicas sociais. Se nas sociedades tradicionais o instituído se fundamentava em crenças religiosas tradicionais, nas sociedades modernas os fundamentos são encontrados no pensamento técnico-administrativo-científico (Burke, 2011). As transformações históricas impõem, naturalmente, mudanças significativas na percepção de legitimidade das instituições.
Entender a confiança nas instituições exige classificá-las. A literatura sociológica sugere um sistema de classificação a partir de cinco categorias que funcionam como o arcabouço para a estrutura social: 1) as instituições que regulam o parentesco, a exemplo da família; 2) as de estratificação social, responsável pelo prestígio e o status social; 3) as culturais, associadas com as atividades religiosas, artísticas e científicas; 4) as econômicas, dedicadas à distribuição dos bens, riquezas e misérias; e 5) as instituições políticas, voltadas para as demandas inerentes ao controle e a manutenção das hierarquias e do poder.
O critério que adotamos para a classificação das instituições difere do anterior, pois o nosso interesse principal, mais psicossocial do que sociológico, reside na avaliação da percepção de legitimidade ou da confiança nas instituições, o que nos permitiu ordená-las em torno de um sistema taxionômico composto por três grandes classes:
Figura 4: exemplos de instituições IRPD, IDSA e IICC

A classificação apresentada na figura 4 não nos ajuda apenas a diferenciá-las em termos das funções que desempenham, como também contribui para entender como elas são diferencialmente avaliadas. Um critério importante de avaliação das instituições é a intensidade da confiança em cada uma delas, sendo aceitável admitir que, neste particular, devemos encontrar grandes diferenças na medida de confiança da população em relação às diferentes instituições.
A literatura especializada, sobretudo nas áreas da filosofia política e das ciências sociais, tem documentado a deterioração da confiança nas instituições sociais no mundo contemporâneo. A desconfiança tem sido documentado tanto em pesquisas de opinião (IBOPE Inteligência, 2019; Living Library Index , 2019; OECD, 2019), quanto em estudos academicamente orientados (Cook & Gronke, 2005; Lima, M., Silva, P. Carvalho & Farias, 2017; Russo, Azzi, Gurgel, & Faveri, 2018; Twenge, Campbell, Keith & Carter, 2014).
Evidências obtidas em contextos geográficos e históricos diversos reforçam este entendimento e têm suscitado discussões a respeito das consequências desta desconfiança e como isto pode interferir em vários domínios, sendo particularmente alarmante a preocupação em entender como esta desconfiança gera impactos na dinâmica dos sistemas políticos, especialmente no que concerne à desvalorização dos sistemas políticos democráticos e na aceitação e popularização de regimes autoritários.
Em termos do modelo taxionômico acima exposto, a desconfiança em relação às instituições não se distribui igualmente, sendo muito mais acentuada em relação às de imposição do consenso e do controle social, enquanto as instituições de referência pessoal e social, talvez por serem marcadas por relações menos formais, mais pessoais e marcadas por uma maior sensação de intimidade, são sistematicamente objeto de menor desconfiança.
Os resultados preliminares das pesquisas conduzidos no nosso laboratório oferecem alguns indicadores a respeito da confiança nas distintas instituições. O grau de confiança em cada uma delas, assinalado numa escala de 1 a 5 pontos, encontra-se representado na figura 5.
Figura 5: nível de confiança nas instituições, agrupado por categoria

Observamos que a confiança difere de forma significativa, com duas das IRPS ocupando as primeiras posições (amigos e família), enquanto as IICC são as menos representativas em termos de legitimidade. É interessante notar que os resultados relativos a algumas instituições, a exemplo da comunidade e vizinhança e das hospitalares e de saúde, se mostraram inconsistentes com a classificação aqui postulada, donde a necessidade de considerar a taxionomia aqui apresentada como uma tentativa preliminar, estando sujeita a mudanças no decorrer do estudo.
Uma vez que a presente pesquisa se interessa em identificar o impacto da pandemia de coronavírus no nível de confiança das instituições, torna-se importante, para estimar este impacto, identificar qual o padrão de estabilidade no julgamento da confiança nas distintas instituições. Uma vez que os nossos dados preliminares foram obtidos duas vezes por ano, entre 2015 e 2020, podemos avaliar o grau de confiança em cada uma das três modalidades de instituições, conforme observado no gráfico plotado na figura 6.
Figura 6: evolução da confiança nas instituições, agrupado por categoria, por ano e semestre

Os resultados deixam claro que as instituições agrupadas sob a denominação IRPS despertam um grau de confiança mais acentuado do que as denominadas IDSA, que por sua vez, foram consideradas mais confiáveis do que as denominadas IICC. Este resultado se manteve constante entre o primeiro semestre de 2015 e o primeiro semestre de 2020. Ainda que os resultados relativos ao segundo semestre de 2015 difiram no nível geral de confiança nas instituições, a distinção entre a IRPS e as demais permanece consistente, embora não tenha sido encontrada, neste período, diferença no grau de confiança entre IDSA e IICC.
Com base no exposto, a hipótese 4 do nosso estudo, relativa ao grau de confiança nos diferentes tipos de instituições, pode ser enunciada nos seguintes termos:
Hipótese 4: Grau de confiança: IRPS> IDSA > IICC
Relações entre as crenças e as instituições
O acolhimento de um conjunto de crenças, consistentes entre si e relativas a diferentes dimensões da realidade física e social, contribui para a formação de visões ou concepções de mundo semelhantes entre aqueles que os acolhem. Dada a distinção que estabelecemos entre os participantes que acolhem as CJ e os que adotam a CT, é razoável supor que, se as diferenças entre estes sistemas de crenças suscitam diferenças na maneira pela qual quem as acolhem percebe e interpreta a realidade, é de se supor, em consequência, que tais diferenças se reflitam no nível de confiança das instituições.
Podemos esperar, por exemplo, que o nível de confiança nas IRPS seja mais alta entre os participantes que acolhem uma visão de mundo fundamentada em crenças tradicionais (CT), conforme observamos na avaliação da instituição família, tal como apresentada na figura 7.
Figura 7: Grau de confiança nas IRPS, agrupado por sistema de crença

Com base nas evidências acima discutidos, o enunciado da hipótese 5 pode ser expresso nos seguintes termos:
Hipótese 5:
Hipótese 5 – Confiança nas IRPS: crenças tradicionais > crenças cientificamente justificadas
Por outro lado, podemos esperar que os participantes que acolhem as crenças cientificamente justificadas (CJ) tendam a confiar mais nas instituições orientadas por parâmetros científicos ou técnicos, a exemplo das educacionais e de saúde, conforme evidência identificada no gráfico apresentado na figura 8. A labuta cotidiana em instituições de saúde e educacionais é marcada pela adoção de um atitude científica face a realidade, afinal as instituições dedicadas ao suporte e ao aperfeiçoamento (IDSA) organizam as suas atividades sustentando-as em conhecimentos oriundos dos saberes científicos, que por sua vez são cultivados e difundidos através das instituições de ensino.
Figura 8: Grau de confiança nas IDSA, agrupado por sistema de crença

Os resultados acima relatados não apenas sugerem um descompasso acentuado no nível de confiança das instituições dedicas ao ensino e o das instituições hospitalares e de saúde, como também indicam que, apesar desta diferença, o nível de confiança é mais acentuado entre os participantes que acolhem o CJ do aqueles que sustentam os caracterizados como CT.
Com base no arrazoado anteriormente apresentado, o enunciado da hipótese 6 pode ser expresso nos seguintes termos:
Hipótese 6 – Confiança nas IDSA: crenças tradicionais < crenças cientificamente justificadas
A última hipótese a respeito das relações entre as crenças e as instituições se fundamenta no entendimento de que o pensamento tradicional, em particular o amparado em razões religiosas, oferece um forte respaldo para a criação, a sustentação e a difusão das ideologias. Instituições de forte apelo ideológico, a exemplo da religião, e de marcado controle social, a exemplo da justiça e da polícia, devem encontrar maior suporte entre os participantes que acolhem as CT, se compararmos com os padrões apresentados entre os que se orientam por crenças cientificamente justificadas.
Figura 9: Grau de confiança nas IICC, agrupado por sistema de crença

Com base no exposto, postulamos que a desconfiança em relação às instituições de controle, um resultado recorrente na literatura sobre a confiança nas instituições, será mais acentuado entre os que acolhem crenças cientificamente justificadas. A hipótese 7 do nosso estudo pode ser enunciada nos seguintes termos:
Hipótese 7 – Confiança nas IICC: crenças tradicionais > crenças cientificamente justificadas
Efeitos sociodemográficos
O impacto das variáveis sociodemográficas tem sido sistematicamente documentado na literatura psicossocial, donde a importância de analisar de que forma o efeito de variáveis como o sexo, a idade, a religião e a orientação política interferem no acolhimento das crenças e na confiança nas instituições.
Sexo do participante
A literatura psicossocial apresenta evidências consistentes de que homens e mulheres diferem nas respostas que apresentam para uma série de situações sociais. Os homens, por exemplo, são mais hierarquizadores do que as mulheres. As mulheres, por sua vez, tendem a uma postura de maior suporte social, quando comparadas com os homens. Em que medida homens e mulheres diferem em termos de adesão aos diferentes sistemas de crenças? E em termos de confiança nas instituições?
As evidências que dispomos até o momento sugerem que homens e mulheres valorizam mais as CJ do que as CT, conforme observado no gráfico encontrado na figura 10.
Figura 10: Ordem das crenças, por sexo

A análise da interação entre o sexo do respondente e o sistema de crença, no entanto, evidencia um cenário mais complexo. Se centrarmos a nossa atenção nas CJ, por exemplo, identificamos que elas tendem a ser mais valorizadas pelos homens do que pelas mulheres. Se, no entanto, o parâmetro de análise for as CT, é possível postular que elas são acolhidas preferencialmente por mulheres.
Com base no exposto, as hipóteses 8 e 9 podem ser enunciadas nos seguintes termos:
-Hipótese 8 – Crenças cientificamente justificadas: homens> mulheres
Hipótese 9 – Crenças tradicionais: homens < mulheres
A literatura sobre os estereótipos tem acenado com uma diferença fundamental na percepção de homens e mulheres, com estas caracterizadas como mais cuidadores, enquanto os homens são estereotipadamente reputados como mais assertivos. Esta diferença se reflete no nível de confiança nas instituições? Seriam as mulheres mais sociáveis, o que as levariam a ter mais confiança nas IRPS? Podemos sugerir que as mulheres confiam mais do que os homens nas instituições vinculadas ao suporte e aos cuidados (IDSA), enquanto os homens confiariam mais em instituições associadas ao domínio social (IICC)?
Figura 11: Grau de confiança nas instituições, por sexo

Dada as diferenças nos padrões de resultados acima expostos, as hipóteses 10, 11 e 12 podem ser assim enunciadas:
Hipótese 10 – IRPS: homens< mulheres
Hipótese 11 – IDSA: homens< mulheres
Hipótese 12 – IICC: homens> mulheres
Religiosidade e religião
Em que pese vivermos em um estado laico, os vínculos entre o poder político e as estruturas religiosas são indisfarçáveis, afinal, conforme informa o slogan do governo atual, Brasil acima de tudo, Deus acima de todos! A ideologia religiosa constitui uma visão de mundo cujos impactos se manifestam em quase todos os domínios da vida social e não deve ser avaliada apenas pela cada vez mais marcante presença de autoridades religiosas nos poderes executivo, legislativo e judiciário.
É possível supor que a ideologia religiosa encontre os seus fundamentos nos sistemas de crenças tradicionais e que, em certa medida, quanto maior for a adesão a um sistema de crenças cientificamente justificado, menor a importância da religião. Na nossa pesquisa diferenciamos o sentido difuso de religiosidade ou espiritualidade da adesão explícita a uma determinada denominação religiosa. Esta diferenciação ocorre pelo fato de encontrarmos um número acentuado de pessoas que ainda que não se sintam inteiramente acolhidos por uma das denominações religiosas tradicionais, considera pertinente adotar uma interpretação não-materialista ou espiritualizada da realidade.
Os dados que dispomos permitem estabelecer vínculos entre a religião do participante e a adesão aos dois sistemas de crenças, conforme observado na figura 12.
Figura 12: Ordem das crenças, em função da religião

Os resultados até aqui obtidos sugerem que a adesão às CJ é maior entre os que não tem religião, enquanto no caso das CT a adesão é maior entre os que tem religião. Com base nestes dados, o enunciado das hipóteses 13 e 14 ganhou a seguinte formulação:
Hipótese 13 – Crenças tradicionais: tem religião > não tem religião
Hipótese 14 – Crenças cientificamente justificadas: tem religião < não tem religião
Uma vez que as respostas relacionadas ao grau de religiosidade podem diferir das previamente apresentadas, além da resposta formal à pergunta se professa ou não alguma religião, avaliamos as relações entre o grau de espiritualidade/religiosidade e os dois sistemas de crenças.
Figura 13: Grau de religiosidade, em função do sistema de crenças

Os resultados foram consistentes com o relatado no item anterior, pois identificamos previamente que as pessoas que acolhem crenças tradicionais tendem a ser mais religiosas que os orientados por um sistema de crenças fundamentado em justificativas científicas, donde o enunciado da hipótese 15:
Hipótese 15- Religiosidade: Crenças tradicionais > Crenças cientificamente justificadas
O efeito da religião/religiosidade, além de firmemente associado ao sistema de crenças acolhido pelo participante, também gera reflexos na avaliação das instituições. É admissível supor, entretanto, que esta relação deve respeitar as particularidades de cada tipo de instituição, sendo imaginável que quanto mais religioso for o participante, maior a confiança nas IRPS e IICC. Esperamos, adicionalmente, pelas razões previamente expostas, que os participantes menos religiosos tenderão a confiar mais nas IDSA que os que manifestam um maior grau de vinculação às religiões.
Os resultados apresentados na figura 12 evidenciam que a relação entre ter ou não religião e as instituições é bastante diferente, se compararmos a inclinação da linha relativa às IDSA , com as linhas referentes às IRPS e IICC.
Figura 14: Ordem das instituições, em função da religião

Com base nas evidências , postulamos as hipóteses 16, 17 e 18, relativas às relações entre ter ou não religião e a confiança nas instituições:
Hipótese 16 – IRPS: tem religião > não tem religião
Hipótese 17 – IDSA: tem religião < não tem religião
Hipótese 18 – IICC: tem religião > não tem religião
Os dados relativos ao grau de religiosidade do participante sugerem um procedimento diferente de análise, sem que isso represente uma diferença digna de nota nos padrões de resultados, conforme observado nos diagramas de dispersão plotados na figura 15.
Figura 15: Diagrama de dispersão das correlações entre o grau dede religiosidade e as instituições

Com base no exposto, as hipóteses a respeito das relações entre religiosidade e confiança nas instituições ganharam a seguinte formulação:
Hipótese 19 – O grau de religiosidade se correlacionará positivamente com a confiança na IRPS, sendo particularmente significativa a correlação com a instituição familiar
Hipótese 20 – O grau de religiosidade se correlacionará negativamente com a confiança na IDSA
Hipótese 21 – O grau de religiosidade se correlacionará positivamente com a confiança na IICC, sendo particularmente significativa a correlação com as instituições religiosas
Orientação política
A orientação política exerce impactos significativos na maneira pela qual as pessoas interpretam e oferecem sentido ao mundo, podendo-se esperar que mantenha relação de associação com as crenças e as instituições. Nesta época de pandemia, por exemplo, tem sido identificado que a concordância com determinadas estratégias de intervenção está fortemente associada com a orientação política.
Como esse efeito se manifestará no caso dos sistemas de crenças? A figura 16 evidencia a relação entre a orientação política e a ordem de importância das crenças, deixando claro as diferenças no padrão de resposta entre os que se definem de direita em relação aos autodefinidos como de esquerda.
Figura 16: Ordem de importância das crenças em função da orientação política

Com base nas evidências, o enunciado das hipóteses 21 e 22 ganha a seguinte formulação:
Hipótese 22 – Crenças tradicionais: direita > esquerda
Hipótese 23 – Crenças cientificamente justificadas: direita < esquerda
As diferenças na orientação política também se refletem no nível de confiança nas diferentes instituições, conforme observado na figura 17.
Figura 17: Confiança nas instituições, por orientação política

Os resultados sugerem que a confiança nas instituições pode ser analisada em função da orientação política do participante, com os que se definem de esquerda valorizando mais instituições como as educacionais e de saúde, enquanto os de direita apresentam uma inclinação acentuada para as instituições de imposição do consenso e de controle.
Hipótese 24 – IRPS: direita > esquerda
Hipótese 25 –IDSA: direita < esquerda
Hipótese 26 –IICC: direita > esquerda
Constructos psicológicos
O último conjunto de fatores utilizados no presente estudo se refere aos constructos psicológicos, ou seja, a um conjunto de variáveis tradicionalmente adotadas nas pesquisas conduzidas na área da psicologia social.
Motivação para o controle do preconceito
As pessoas diferem em relação à motivação que sentem para controlar seus preconceitos. Esta motivação tanto pode ser o resultado de fatores internos, como crenças e atitudes pessoais, como pode ser o resultado de pressões exercidas por outras pessoas ou pela sociedade de modo mais geral.
Na presente pesquisa, foram utilizadas as duas dimensões da escala de motivação para o controle do preconceito, uma de motivação interna, e uma outra de motivação externa (Plant & Devine, 1998). A motivação para o controle do preconceito é um constructo de natureza motivacional e se refere ao grau em que o participante considera ter sido capaz de manter um esforço constante no sentido de evitar a expressão dos preconceitos, seja por razões de natureza intrínseca, evitar parecer preconceituoso para si mesmo, seja por razões extrínsecas, evitar parecer preconceituoso para as outras pessoas.
A análise da consistência interna dos cinco itens da escala de motivação externa forneceu um valor de alpha de Cronbach de 0.751. A dimensão motivação interna para o controle do preconceito, entretanto, apresentou um indicador bastante abaixo do aceitável (α = 0.403), o que nos obrigou a conduzir uma análise fatorial exploratória, que permitiu gerar um fator, constituído por apenas dois itens, os quais submetidos a análise de consistência interna proporcionou um α = 0.654, um valor tolerável.
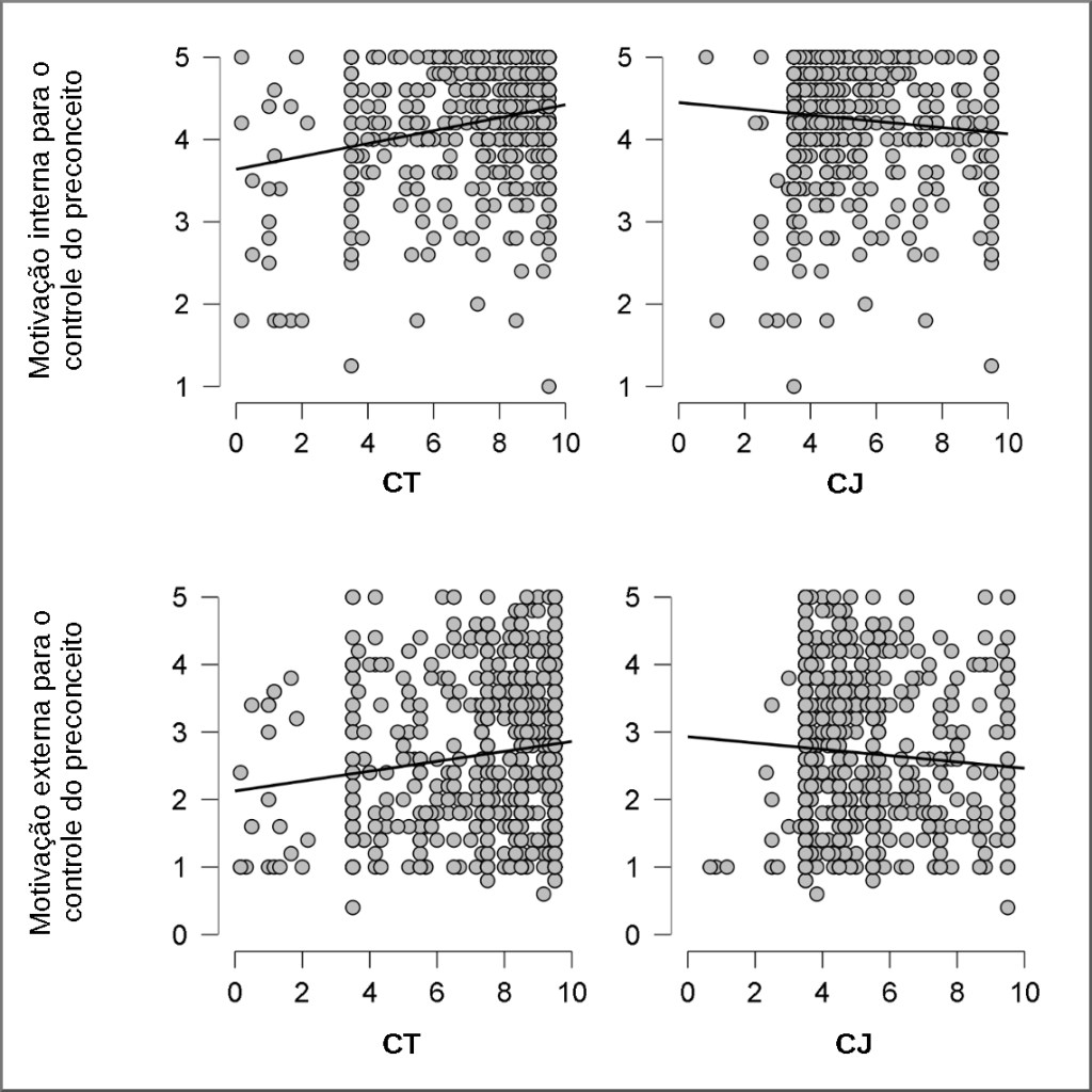
Figura 18: Correlação entre motivação para o controle do preconceito e sistemas de crenças

A motivação externa para o controle do preconceito envolve a adoção de condutas destinadas a impedir a criação de condições nas quais a conduta do percebedor possa ser interpretada como preconceituosa, nas circunstâncias em que as restrições decorrem da suposição de que a conduta pode ser monitorada por outras pessoas. Este monitoramento das condutas está associado com uma maior adesão a uma visão tradicionalista da realidade, donde a associação esperada entre a motivação para o controle do preconceito e as crenças tradicionais.
Hipótese 27: as crenças tradicionais se correlacionarão positivamente com a motivação para o controle do preconceito
Hipótese 28: as crenças cientificamente justificadas se correlacionarão negativamente com a motivação para o controle do preconceito
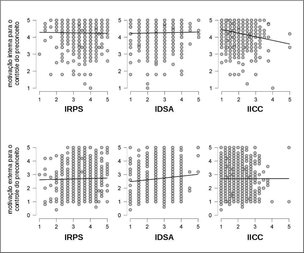
Figura 19: Correlação entre motivação para o controle do preconceito e instituições

Esperamos, adicionalmente, que a motivação externa para o controle do preconceito se apresente associada com uma maior confiança nas instituições de referência pessoal e nas de suporte e desenvolvimento pessoal, enquanto um maior grau de motivação interna mantenha uma associação negativa com as instituições de controle e imposição do consenso. Estas suposições fundamentam as hipóteses 29 a 31, abaixo expostas:
Hipótese 29 : a confiança nas IRPS se correlacionará positivamente com a motivação externa para o controle do preconceito
Hipótese 30 : a confiança nas IDSA se correlacionará positivamente com a motivação externa para o controle do preconceito
Hipótese 31: a confiança nas IICC se correlacionará negativamente com a motivação interna para o controle do preconceito
Necessidade de closura
O conceito de closura se refere à tendência a se evitar chegar a conclusões ambíguas. Trata-se de uma medida elaborada com a finalidade de estimar a quantidade de incerteza que somos capazes de lidar no dia a dia. Quando se trata de eventos pessoais e sociais, a noção de necessidade de closura se refere ao grau de desconforto que sentimos quando somos obrigados a lidar com tarefas que fogem da rotina ou quando nos defrontamos com o imprevisível (Kruglanki & Webster, 1996; Kruglanski & Fishman, 2009).
Numa perspectiva temporal se refere ao grau em que o participante se sente mais ou menos confortável frente às tarefas em aberto, inconclusas ou incompletas. Tem sido tratada na literatura psicossocial como um indicador de rigidez mental, sendo usualmente associada a medidas como o autoritarismo, mente fechada e preconceitos e a processos psicológicos que envolvem o mínimo de processamento cognitivo, a exemplo das heurísticas, vieses e ilusões. Este processo está associado com a tendência a “congelar” a reflexão quando se alcança alguma conclusão satisfatória, o que supõe uma redução substancial no tempo dedicado à atividade reflexiva.
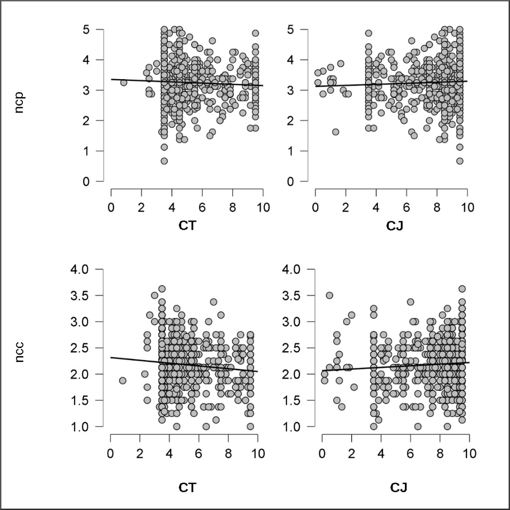
A versão utilizada na presente pesquisa foi constituída por 16 itens, associados a duas dimensões, a necessidade de certeza (ncp), que se refere ao grau com que a pessoa se sente desconfortável quando se defronta com situações que envolvem ausência de certeza, e a dimensão da previsibilidade (ncc), que se refere ao grau em que o participante se sente desconfortável face a situações dotadas de alto grau de incerteza. A análise da consistência interna dos itens do instrumento apresentou valores satisfatórios (α = 0.880).
Figura 20: Correlação entre closura e confiança nas instituições

Hipótese 32 – a necessidade de closura: CT > CJ
Hipótese 33 – a necessidade de closura se correlacionará positivamente com a confiança nas IICC
Clima social
O clima socioemocional é uma classe de emoções e afetividades coletivas dominantes em um contexto específico, produzidas através das interações sociais e influencia os padrões de condutas sociais. Por exemplo, viver em um clima social negativo de medo, frequentemente, gera comportamentos de evitação de contato social e exclusão e, viver em um clima social positivo, gera comportamentos prósociais e de aproximação (Páez, Javaloy, Wlodarczyk, Espelt & Rimé, 2013). Uma vez que o clima social é uma orientação emocional coletiva, fortemente influenciada por eventos políticos, econômicos, sociais, religiosos e educativos, interfere no pensamento e produz experiências afetivas compartilhadas em uma população. São orientações emocionais que envolvem normas e crenças acerca das relações emocionais existentes entre indivíduos e grupos em um contexto social (de Rivera & Yutserver, 2010; de Rivera,
Hipótese 34 – clima: CT < > CJ
Hipóteses sobre a satisfação pessoal
O bem estar subjetivo individual é definido como o modo e motivos que levam as pessoas a
viverem suas experiências de vida de forma positiva, diz respeito a felicidade e à satisfação global com a vida, consigo mesmo e com os diversos domínios da vida, como saúde, trabalho, condições de moradia, relações sociais e autonomia (Diener, 1984). A satisfação com a vida, domínio cognitivo do bem estar subjetivo, é um processo de julgamento cognitivo, juízo ou avaliação no qual o indivíduo estima sua vida com base nas circunstancias atuais e em um padrão por ele estabelecido previamente (Diener, Emmons, Larsen, & Griffin, 1985), quanto mais associados forem, maior o nível de satisfação global com a vida e bem estar subjetivo. Assim sendo é um julgamento cognitivo consciente das circunstâncias e experiências de vida e os padrões previamente estabelecidos pelo indivíduo (Pavot & Diener, 1993).
Hipótese 36 – satisfação pessoal: CT < > CJ
Referências
Abercrombie, N., Hill, S. & Turner, B. (2006). Institution. Em Abercrombie, Hill & Turner. The Penguin Dictionary of Sociology. London: Penguin Books.
Bruce, Steve & Yearley, Steven (2006). Social Institutions. Em Bruce & Yearley. The Sage Dictionary of Sociology. London: Sage.
Burke, Joseph (2011). Institution. Em G. Ritzer & M. Ryan (Eds). The concise encyclopedia of sociology. Malden: Blackwell.
Cook, T., & Gronke, P. (2005). The Skeptical American: Revisiting the Meanings of Trust in Government and Confidence in Institutions. The Journal of Politics, 67(3), 784-803. doi:10.1111/j.1468-2508.2005.00339.
de Rivera, J. & Yurtsever, G. (2010). National emotional climate and the value of freedom.
Beliefs and Values, 2, 57-65.
de Rivera, J. (2015). Cultura de paz e el clima emocional de las sociedades. In E.M. Zubieta;
J.F. Valencia & G.I. Delfino (eds), Psicologia Social y Politica: Procesos teóricos y
estudios aplicados (159-178). Peudeba, Buenos aires.
Diener, E.; Emmons, R.A.; Larsen, R.J.; & Griffin, S. (1985). The Satisfaction With Life
Scale. Journal of Personality Assessment, 49, 71-5.
Diener, E.d. (1984). Subjective Well-Being. Psychological Bulletin, 95(3), 542-575.
https://ssrn.com/abstract=2162125
Gilbert, D. (1991). How mental systems believes. American Psychologist, 46, 2, 107-119.
IBOPE Inteligência (2019). ICS Índice de confiança nas instituições 2019. Disponível em https://www.ibopeinteligencia.com/arquivos/JOB%2019_0844_ICS_INDICE_CONFIANCA_SOCIAL_2019%20-%20Apresenta%C3%A7%C3%A3o%20(final).pdf
Kruglanski, A. W.; Fishman, S. The Need for Cognitive Closure. In.: Leary, M. R.; Hoyle, R. H. (Ed.). Handbook of Individual Differences in Social Behavior. (pp. 343 – 353) New York, 2009. A Division of Guilford Publications.
Kruglanski, A. & Webster, D. (1996). Motivated closng of mind: “seizing” and “freezing” . Psychological Review, 103, 263-283
Lima, M., Silva, P. , Carvalho, Farias, L. (2017). Identidade nacional e confiança nas instituições em contexto de crise no Brasil. Psicologia e Saber Social, 6(2), 205-222, 2017. doi: 10.12957/psi.saber.soc.2017.33557
Living Library Index (2019). Index: Trust in Institutions 2019. https://thelivinglib.org/index-trust-in-institutions-2019/
OECD (2019), “Confidence in institutions”, in Society at a Glance 2019: OECD Social Indicators, OECD Publishing, Paris, https://doi.org/10.1787/599e6540-en.
Páez, D.; Javaloy, F.; Wlodarczyk, A.; Espelt, E. & Rimé, B. (2013). El Movimiento 15M:
sus acciones como rituales, compartir social, creencias, valores y emociones. Revista de
Psicología Social, 18, 19-33. doi:10.1174/021347413804756078
Pavot, W.; & Diener, E. (1993). Review of the Satisfaction With Life Scale. Psychological
Assessment, 5(2), 164-172. https://doi.org/10.1007/978-90-481-2354-4_5
Plant, A, & Devine, P. (1998).Internal and External Motivation to Respond Without Prejudice Journal of Personality and Social Psychology, 75, 3, 811-832.
Russo, Guilherme A., Azzi, Roberta Gurgel, & Faveri, Charlene. (2018). Confiança nas instituições políticas: diferenças e interdependência nas opiniões de jovens e população brasileira. Opinião Pública, 24(2), 365 404. https://doi.org/10.1590/1807-01912018242365
Shermer, M. (2012). The believing brain. New York: Griffin
Turner, Brian (2006). Insitution(s). Em B. Turner (ed,). The Cambridge dictionary of sociology. Cambridge: Cambridge University Press.
Twenge, Jean & Campbell, W. Keith & Carter, Nathan. (2014). Declines in Trust in Others and Confidence in Institutions Among American Adults and Late Adolescents, 1972-2012. Psychological science. 25. 10.1177/0956797614545133.