O que podemos concluir até o momento? Nesta seção do trabalho apresentaremos as conclusões preliminares do nosso estudo, evitando ao máximo as discussões técnicas e a apresentação de inferências estatísticas.
O leitor interessado nas discussões técnicas relativas a cada uma das hipóteses pode clicar aqui para ter acesso às análises estatísticas das nossas hipóteses de trabalho ou aqui para acessar os fundamentos teóricos e conceituais da pesquisa.
Caso o interesse seja visualizar de forma resumida e mais dinâmica os resultados, clique aqui.
Crenças
Em que as pessoas creem? Os resultados que até aqui obtivemos sugerem um quadro complexo em relação aos sistemas de crenças. O modelo de análise aqui adotado se sustenta na diferenciação de dois sistemas de crenças, as tradicionais, composto pelas crenças em deus, em milagres, no céu, no diabo e no inferno, e as cientificamente justificadas, um sistema constituído pelas crenças na genética, em átomos e moléculas, na teoria da evolução, em vacinas, no aquecimento global e no big bang.
Solicitamos aos participantes que ordenassem as doze crenças acima listadas em ordem de importância. Os resultados, registrados na figura 1, deixaram claro que a crença em deus foi considerada a mais importante para a maioria dos respondentes. Na sequência, os participantes posicionaram quase todas as crenças cientificamente justificadas para, finalmente, classificarem as demais crença tradicionais. Duas crenças tradicionais, a no diabo e a no inferno, ocuparam as posições finais, enquanto a crença cientificamente justificada no big bang ocupou um das últimas posições.

A partir das respostas acima expostas, foram compostos dois indicadores, um relativo à importância dada às crenças tradicionais (CT) e um segundo, obtido a partir da média das posições ocupadas pelas crenças cientificamente justificadas (CJ). Uma vez que as medidas não são independentes uma da outra, consideramos analisar a partir de um dos dois sistemas de crenças, as cientificamente justificadas. O critério adotado para esta decisão foi a comparação entre as médias das posições das seis crenças incluídas em cada um dos sistemas. O teste de Wilcoxon (W = 667702,000 , p <.001; correlação bi-serial das posições = 0,539) permitiu identificar uma diferença significativa na adesão às crenças, apontando uma maior importância atribuída à media das CT (8,935) ao serem comparadas com as atribuídas às CJ (5,065). As respostas relativas à importância das crenças cientificamente justificadas oscilam bastante ao longo dos dias, conforme observado no gráfico encontrado na figura 2.

Para avaliar melhor o efeito da passagem do tempo na evolução da confiança nas crenças, aplicamos a rotina Expert Modeller, do Forecasting (SPSS). O resultado, conforme observado no gráfico encontrado na figura 3 evidencia que a confiança nas crenças cientificamente justificadas apresentou alguma oscilação, ora para mais, ora para menos, se compararmos com a linha vermelha, que serve como critério de referência.

Uma vez que as crenças estão fortemente associadas com o grupo de referência de quem as acolhe, conduzimos uma série de análises relativas ao impacto de algumas variáveis sociodemográficas na adesão às crenças. Foi possível identificar, por exemplo, que os homens aderem mais às CJ do que as mulheres (média 10,08 x 8,45; Mann-Whitney = 296062,000 , p <.001; tamanho de efeito = 0,271). Além da variável sexo, a variável idade também mostrou uma associação com o adesão às CJ, identificando-se uma correlação negativa (rho de Spearman = -0,150 , p <.001), o que sugere uma relação sistemática entre o envelhecimento e o abandono das crenças cientificamente justificadas.
A adesão a uma religião também exerceu um efeito importante, pois a média de adesão das pessoas que não acolhem nenhuma religião foi substancialmente superior (11,150; dp = 2,932) do que as identificada entre os que informaram aderir a algum credo religioso (7,539; dp = 3,642), sendo esta diferença entre as médias significativa do ponto de vista estatístico (Mann-Whitney = 316235,000 , p <.001; tamanho de efeito = 0,596). Para fins de comparação, consideremos uma outra medidas, a religiosidade, obtida numa escala de 11 pontos, com valores mais alto indicando maior religiosidade. A aplicação de uma correlação bivariada identificou uma correlação negativa entre o nível de religiosidade do participante e o acolhimento das CJ (rho de Spearman = -0,555 , p <.001).
Foi possível identificar, adicionalmente, uma relação entre a adesão às CJ e o nível de escolaridade do participante (Mann-Whitney = 67578,000 , p <.001; tamanho de efeito = 0,225), com os participantes com níveis mais altos de escolaridade (média = 9,06; dp = 3,80) acolhendo mais as CJ do que os que informaram nível mais baixo de escolaridade (média = 7,16; dp = 4,03). Dada a esperada relação entre escolaridade e renda, também foi possível identificar uma correlação entre estas duas variáveis (rho de Spearman = 0,163 , p <.001), sendo possível inferir que participantes com maior nível de escolaridade e de renda mais alta tendem a acreditar mais nas crenças cientificamente justificadas.
Uma última dimensão sociodemográfica que consideramos no estudo, a orientação política também indica um cenário no qual os participantes que se definiram de esquerda acolhem mais as CJ (10,090; dp = 3,458) do que os participantes de centro (média = 7,177; dp = 3,612) e de direita (7,091; dp = 3,732), que por sua vez não diferem entre si. Este resultado é estatisticamente significativo (Kruskall-Wallis (2) = 190,280 , p <.001), apontando o impacto da orientação política na adesão aos sistemas de crenças.
Este conjunto de resultados indica efeitos não desprezíveis dos grupos de referência, sejam eles o sexo , a idade, a renda, a escolaridade e a religiosidade dos participantes na adesão aos sistemas de crenças, conforme encontrado nos gráficos plotados na figura 4
Figura 4: análises comparativas e associacionais dos grupos de referência nas CJ
Os efeitos das variáveis sociodemográficas sobre os sistemas de crenças podem ser resumido nos termos abaixo enumerados:
- o perfil sociodemográfico dos participantes que privilegiam o sistemas de crenças tradicionais (CJ) tende a ser de homens, mais jovens, com escolaridade e renda mais alta, sem crença religiosa e politicamente de esquerda.
- por contraste, o perfil mais comum dos participantes que acolhem um sistema de crenças tradicional tende a ser o de mulheres, pessoas mais idosas, com escolaridade e renda mais baixa, religiosas e politicamente de centro ou de direita.
As relações entre as crenças e algumas variáveis sociodemográficas podem ser observadas no grafo obtido mediante a utilização do aplicativo Gephi, layout Force Atlas 2, conforme observado na figura 5.

Confiança nas instituições
Vivemos em um mundo regido por normas e regras, no qual as nossas ações são determinadas parcialmente pelas nossas intenções e, por outro lado, por aquilo que é socialmente instituído. A nossa relação com as instituições é marcada por concordâncias e discordâncias, aproximações e afastamentos, simpatias e antipatias. Confiamos em algumas delas e, em outras, muito pouco.
O segundo objetivo do nosso estudo foi avaliar a confiança em algumas instituições. Utilizamos uma escala gráfica na qual o participante foi solicitado a indicar o quanto confia em cada instituição, atribuindo, a cada uma delas, entre uma estrela, quando confiava muito pouco, a cinco estrelas, o indicador do grau de confiança máxima. A média de avaliação em cada uma das instituições pode ser visualizada na figura 6.

Uma vez que as doze instituições avaliadas pelos participantes foram classificadas em três modalidades, as instituições de referência pessoal e social (IRPS), as instituições dedicadas ao suporte e à assistência (IDSA) e as instituições de imposição do controle e do consenso social (IICC), podemos compará-las em termos de confiança que elas despertam nos participantes. Uma Anova de medidas repetidas indica uma diferença significativa entre as três modalidades (F(2, 880) = 1842,410 , p <.001 , n2 = 0,558), com o teste post hoc apontando que as três diferem significativamente entre si, com as IRPS sendo as mais valorizadas (média = 3,666; dp = 0,780), seguida pela IDSA (média = 3,135; dp = 0,915) e por último as IICC (média = 2,181; dp = 0,694).
A evolução da confiança em cada uma das modalidades de instituição pode ser acompanhada no gráfico plotado na figura 7, no qual se nota que as oscilações identificadas na confiança nas três instituições não destituem a validade da tendência acima exposta.

Se as instituições de referência pessoal (IRPS) foram consideradas as mais confiáveis, isso não significa necessariamente que todas as instituições incluídas nesta modalidade são igualmente percebidas como confiáveis. Análises comparativas entre elas indicam que a instituição família foi percebida como a mais confiável, um resultado que independeu do sexo, da idade, da religião ou da renda do participante. Embora a avaliação da família tenha evidenciado alguma oscilação ao longo do estudo, se apresenta como a mais confiável desde o início da coleta de dados, o que confirma o estudo piloto, que mostrou a importância desta instituição e o quão esta avaliação tem sido consistente com a passagem do tempo.
A instituição amigos e conhecidos também foi bem avaliada, embora na média tenha sido considerada um pouco menos confiável do que a família, conforme observado nos gráficos plotados na figura 8.

A instituição amigos e conhecidos também foi bem avaliada, embora na média tenha sido considerada um pouco menos confiável do que a família, conforme observado nos gráficos plotados na figura 6. O nível de confiança na terceira modalidade de IRPS, a o comunidade e vizinhança, é bem mais baixo do que o atribuído às duas primeiras instituições, indicando que os participantes confiam bem mais nos familiares e amigos do que nos seus vizinhos e na comunidade em que vivem.
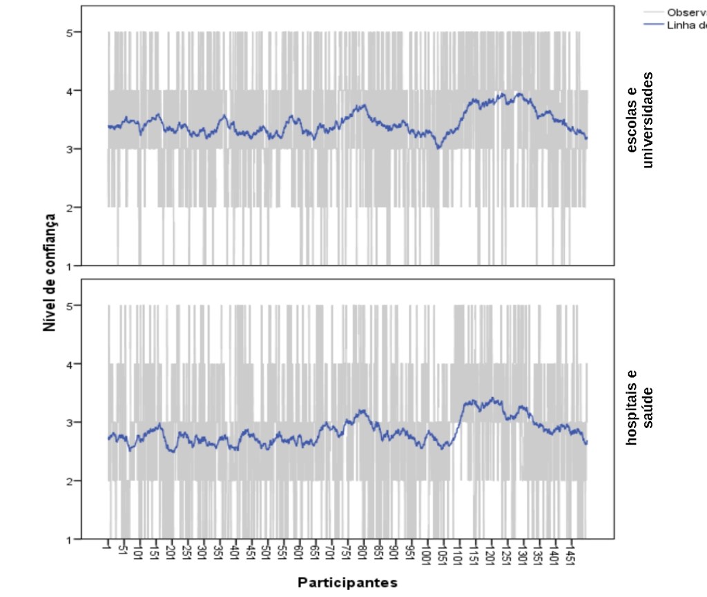
Uma segunda modalidade, as dedicadas ao suporte e ao aperfeiçoamento (IDSA), incluem as instituições de ensino e as de saúde. A avaliação destas duas instituições é bastante diferenciada,conforme se identifica nos gráficos plotados na figura 9.

A avaliação diferencial das duas IDSA apresentou um grau de oscilação mais acentuada do que o observado entre as IRPS, embora não possamos afirmar que estas oscilações representem rupturas acentuadas na avaliação da confiança nas instituições. Análises adicionais apontam que homens confiam mais nas IDSA do que as mulheres, pessoas com perfil de renda mais alto mais do que as que possuem menos renda, bem como indicam que os participantes mais velhos vão perdendo a confiança nas instituições de saúde com a idade.
O terceiro grupo de instituições que consideramos foi o das responsáveis pela imposição do consenso e do controle social (IICC). O nível de confiança nestas instituições, mais baixo do que nas IRPS e ISDA, sofre mais variações, pois algumas são relativamente bem avaliadas e outras são objeto de muita desconfiança. A figura 10 evidencia a evolução da confiança nas cinco instituições incluídas nesta categoria ao longo da pandemia.

A religião, dentre as acima apresentadas, parece sofrer mais oscilações com a passagem do tempo, ao passo que a ausência de confiança nas instituições mídia e justiça e polícia se mantiverem estável com a passagem do tempo.
Relações entre crenças e instituições
Aquilo em que acreditamos determina os nossos julgamentos e as nossas avaliações. Se as crenças ocupam uma posição central na nossa vida psíquica, podemos esperar que pessoas com diferentes sistemas de crenças percebam o mundo em que vivem de uma maneira distinta, a depender, claro, da centralidade ocupada pelo sistema na vida da pessoa.
Uma vez que acentuamos a importância dos sistemas de crenças, postulamos que os dois sistemas que diferenciamos, o CT e o CJ, ocupam uma posição de centralidade na vida mental dos nossos participantes. Ao admitir que estes sistemas interferem decisivamente nos pensamentos e nas ações de quem os acolhe, uma outra questão central do nosso estudo passa a ser determinar o quanto eles interferem na avaliação das instituições. Para alcançar este objetivo diferenciamos os participantes, incluindo-os em uma das duas categorias: aqueles que consideram mais importantes as crenças tradicionais e, por outro lado, aqueles que privilegiam as crenças cientificamente justificadas.
O critério que adotamos para esta diferenciação foi estatístico, ou seja, obtivemos, para cada participante, a média das posições da importância das seis crenças tradicionais (deus, milagres, anjos, céu, diabo, inferno) e das seis crenças cientificamente justificadas (genética, átomos e moléculas, evolução das espécies, vacinas, aquecimento global e big bang). A partir do cômputo da média, o participante foi incluído na categoria CT quando a média do conjunto das crenças tradicionais foi superior ao as das CJ. Um raciocínio semelhante foi adotado para as crenças cientificamente justificadas. A aplicação deste procedimento permitiu a distribuição dos participantes entre os dois grupos, dos quais 990 foram categorizado como CJ, enquanto 468 foram incluídos na categoria CT. Este procedimento, no entanto, foi incapaz de incluir cerca de 3% dos participantes, quase sempre devido à igualdade das médias dos dois sistemas de crenças.
A adesão a um sistema de crenças, e não a outro, provavelmente favorece algumas escolhas e inibe outras. Além disso, as crenças se associam a adoção de determinados estilos de vida e a exclusão de outros. A figura 11 apresenta de forma sintética algumas diferenças no plano sociodemográfico e psicológico entre participantes que acolhem sistemas de crenças tradicionais e cientificamente justificados.

O acolhimento de um sistema de crenças está associado com escolhas relacionadas com a visão de mundo compatível com o sistema escolhido. Estas diferenças se manifestam em vários domínios. Deste modo, os que acolhem o sistema de crenças tradicional tendem a ser ser politicamente mais a direita, mais religiosos, apresentar um menor grau de escolarização formal, um maior controle interno do preconceito e uma visão mais negativa sobre o clima social se compararmos os resultados com os obtidos dos participantes categorizados como orientados por um sistema de crenças cientificamente justificado. Por outro lado, não pudemos identificar diferenças de idade ou em constructos psicológicos como satisfação com a vida e a necessidade de closura.
Face aos resultados acima descritos, torna-se cabível questionar as relações entre os sistemas de crenças e a confiança nas instituições. Dado que foram analisados os resultados dos dois sistemas de crença e de três modalidades de instituições, a discussão deve levar em consideração estas relações, donde discutirmos, a seguir, as relações entre os dois sistemas de crenças e as três modalidades de instituições, as instituições de referência pessoal e social (IRPS), as instituições dedicadas ao suporte e aperfeiçoamento( IDSA) e as instituições de imposição do consenso e do controle social (IICC).

Conforme observado, acolher um sistema de crenças cientificamente justificado representa desvalorizar as IICC, ao tempo em que acolher um CT está associado com uma maior valorização das IDSA. Em contrapartida, a confiança nas IRPS não é afetada pelo sistema de crenças, pois a avaliação permanece sempre alta nos participantes alocados aos dois sistemas de crenças.
Uma vez que as instituições foram agrupadas em categorias mais ampla, e este agrupamento pode trazer distorções nas análises, é importante considerar cada instituição incluída nas três modalidades acima diferenciadas.O impacto dos sistemas de crenças em cada uma das IRPS pode ser visualizado na figura 13, no qual se evidencia, de imediato, que a inclinação da linha relativa à confiança na instituição amigos difere da observada nas outras duas, pois foi a única na qual a confiança é mais alta entre os que acolhem as CJ. A instituição família apresenta uma tendência oposta, sendo mais valorizada pelos que acolhem as CT. A instituição comunidade e vizinhança foi a única, dentre as três IRPS, que não apresentou diferenças associadas com os sistemas de crenças.

Análises em separado indicam que o sexo do participante não interferiu no julgamento da confiança das IRPS, exceto no caso da família, caso em que os homens confiaram mais do que as mulheres, mas apenas entre os que acolheram as CT. O efeito de professar ou não uma religião influenciou apenas a avaliação da confiança na família entre os que acolhem as CJ, no qual constatamos que esta instituição é menos confiável para os que não possuem religião. As demais variáveis, a renda familiar, a escolaridade e a orientação política, não interferiram na relação entre os sistemas de crenças e confiança nas IRPS, que se manteve constante mesmo com o controle estatístico destas variáveis.
As relações entre as crenças e a confiança nas IDSA mantém um padrão facilmente discernível, como se observa na figura 14, na qual se nota que as instituições educacionais são percebidas como mais confiáveis do que as de saúde e que este efeito é mais forte entre os que acolhem os sistemas de crenças cientificamente justificados do que entre os que aderem a um sistema de crenças tradicionais. Este efeito independe do sexo, da escolaridade, da renda ou do participante declarar ostensivamente professar ou não uma religião.

As relações entre os sistemas de crenças e a confiança nas IICC apresentam uma certa complexidade, sobretudo no que concerne ao efeito exercido pelas instituições religiosas. No gráfico plotado na figura 15 as relações entre as IICC e os sistemas de crenças podem ser visualizadas.

O elemento mais evidente se refere à diferença na inclinação da linha relativa às instituições religiosas, pois mesmo que nas demais instituições possamos identificar uma queda na confiança nas instituições entre os participantes que acolhem os CJ quando comparados aos CT, este efeito é muito pronunciado no caso da religião e, um pouco menos, mais ainda assim saliente, no caso dos bancos e instituições financeiras.
A análise particularizada de algumas destas instituições mostra alguns efeitos que não podemos desconsiderar. No caso da religião, foi possível constatar que se a confiança entre os participantes que acolhem as CT é alta e independe do sexo, no caso das CJ a confiança é menor e bem mais acentuada entre as mulheres do que entre os homens. Também foi possível identificar que a confiança nas instituições justiça e polícia é maior entre os homens do que entre as mulheres, um efeito que independe do sistema de crenças acolhido pelo participante. O impacto da escolaridade do participante se manifestou exclusivamente na avaliação das instituições judiciárias, que se já eram consideradas menos confiáveis pelos que acolheram as CJ, o foram ainda mais entre os estudantes universitários. O efeito de expressar abertamente que professa uma religião está logicamente associado com a confiança nas instituições religiosas, um efeito que se manifestou igualmente entre os participantes CT e CJ.
Preditores da confiança nas instituições
A confiança nas instituições é difícil de ser explicada, pois depende de uma série de fatores. Esta seção representa uma tentativa de identificar os fatores que contribuem para explicar a confiança em cada uma delas. A técnica utilizada foi a regressão linear, tanto na sua formulação frequentista, método backward, quanto a bayesiana. Os parâmetros obtidos com os procedimentos de regressão (betas, betas padronizados, indicadores de ajuste, r2 ajustado, fator bayesiano etc) foram desconsiderados nesta seção, mas podem ser encontrados na seção de discussão das hipóteses.
Os preditores da confiança nas instituições foram organizados em dois blocos, um composto pelos sociodemográficos (idade, sexo, raça, renda, escolaridade, religiosidade e orientação política do participante) e um segundo, no qual foram incluídas as variáveis psicológicas (sistema de crenças, motivação para o controle do preconceito, necessidade de closura, satisfação frente à vida e clima psicossocial). Apresentaremos, em separado, os preditores para cada uma das instituições, segundo as modalidades pelas quais elas foram agrupadas.
IRPS
| Instituição | Preditores |
|---|---|
| Família | satisf ( + ) , clima ( + ) , CT ( – ) , idade ( + ) |
| Amigos e conhecidos | satisf ( + ) , CT ( + ) , renda ( + ) , idade ( – ) |
| Vizinhos e comunidade | satisf ( + ) , idade ( +) |
A tabela indica que o principal preditor da confiança na instituição família é uma variável psicológica, a satisfação pessoal. O sinal ( + ) ao lado do preditor indica um correlação positiva, ou seja, sugere que quanto maior é a satisfação com a vida, maior acentuada se torna a confiança na instituição familiar. O segundo preditor incluído foi o clima psicossocial, que acompanhado do sinal (+) indica um valor positivo, ou seja, quanto mais positivo o participante considera o clima social, mais ele passa a confiar na família. O preditor CT aponta que a os participantes que acolhem um sistema de crenças tradicional valoriza mais a família que os que acolhem o CJ. O preditores sociodemográficos idade sugere que a confiança na família aumenta sistematicamente com a idade do participante.
O modelo obtido para a confiança na instituição amigos e conhecidos é composto por dois preditores psicossociais e dois sociodemográficos. O principal deles foi um maior grau de satisfação pessoal. O segundo preditor, positivo, indica que o acolhimento de um sistema de crenças tradicionais reduz a confiança nos amigos. Além disso, ter uma renda acima de 5 mil reais está associado com um maior nível de confiança nos amigos. O indicador negativo do preditor idade indica que quanto mais mais velho o participante, menor a confiança nos amigos e conhecidos.
O modelo elaborado para a predição da confiança na instituição vizinhos e comunidade foi composto por uma variável grau de satisfação, indicando que quanto mais satisfeito a pessoa estiver com a vida, mais ela confia nos seus vizinhos e na comunidade em que vive, e uma variável sociodemográfica, indicando uma associação negativa com a confiança nos amigos e conhecidos.
O principalpreditor da confiança nas IRPS parece ser o nível de satisfação com a vida, uma vez que ele foi o principal preditor da confiança nas três instituições subordinadas a esta modalidade.
IDSA
| Instituição | Preditores |
|---|---|
| Escolas e universidades | polit ( – ) , satisf ( + ) , mulher ( – ) , CT ( + ) , branca ( – ) |
| Hospitais e saúde | satisf ( + ) , CT ( + ), superior ( +) , polit ( – ) , idade ( – ) |
O principal preditor da confiança nas escolas e universidades foi a orientação política de direita. O indicador negativo sugere que quanto mais o participante se posiciona à direita no espectro político, menor a confiança nas instituições de ensino. O segundo preditor associa uma maior satisfação com a vida com uma maior confiança nas escolas e universidades O terceiro preditor aponta que a confiança das mulheres nas instituições educacionais é significativamente inferior a dos homens. Os participantes que adotam as CT e as mulheres confiam menos nos amigos que os CJ os homens.
A confiança nos hospitais e nas instituições de saúde está positivamente associada com a satisfação com a vida. Os participantes que acolhem as CJ também se mostram mais satisfeitos do que os CT. Da mesma forma, estar frequentando ou ter frequentado um curso superior também aumenta a confiança nas instituições de saúde. Em contrapartida, quanto mais a direita no espectro político e mais jovem, menor a confiança nas instituições de saúde.
IICC
| Instituição | Preditores |
|---|---|
| Religião | CT ( – ), relig ( + ), polit ( + ), satisf ( + ), mulher ( + ) |
| Meios de comunicação de massa | idade ( – ), satisf ( + ), CT ( + ), renda ( – ), mcp ( + ) |
| Bancos e instituições financeiras | polit ( + ), satisf ( + ), idade ( – ), clima ( + ) |
| Justiça e polícia | clima ( + ), mulher ( – ) |
| Partidos políticos | closura ( + ), clima ( + ), CT ( + ) |
O principal preditor da confiança nas instituições religiosas foi maior entre os participantes que acolhem os sistemas de crenças tradicionais e, obviamente, mais intensa entre os que informaram um maior senso de religiosidade. A confiança nestas instituições também se mostrou mais intensa entre as pessoas que registraram uma maior satisfação coma vida, como também entre as mulheres, assim como entre os que informaram adotar uma posição política mais à direita.
O modelo de regressão elaborado para a identificação dos preditores dos meios de comunicação de massa indicou que quanto mais jovem menor a confiança nestas instituições. A desconfiança nas instituições de mídia também é mais acentuada entre as pessoas com renda abaixo de 5 mil reais. Dentre as variáveis psicossociais, o grau de satisfação com a vida e uma maior tendência a controlar os preconceitos foram positivamente associadas com a confiança nos meios de comunicação de massa, assim como uma maior motivação para o controle do preconceito. Os participantes que acolhem os sistemas de crenças tradicionais confiam mais nos meios de comunicação de massa do que os cientificamente orientados.
No caso dos bancos e instituições financeiras, o modelo de regressão indicou que uma orientação política de direita representa o principal preditor da confiança nestas instituições. Além disso, a confiança nas instituições financeiras foi maior entre as pessoas mais satisfeitas com a vida e com as mais idosas. Viver em um clima social positivo também se encontra associado com a confiança nas instituições bancárias e financeiras
A confiança nas justiça e na polícia parece ser uma condição associada às pessoas que relatam uma maior satisfação com o clima ou ambiente psicossocial em que vivem. Ao lado disso, o modelo indica que as mulheres confiam menos nas instituições legais do que os homens.
O modelo preditivo para a confiança nos partido políticos, a instituição que apresentou o menor nível de confiança entre todas as analisadas no nosso estudo, indica a presença de três preditores, todos psicossociais. Quanto maior o escore na necessidade de closura e a avaliação positiva do clima social, mas os participantes confiam nos partidos políticos. Finalmente, foi possível constatar que os participantes orientados por um sistema de crenças cientificamente justificado confiam mais nos partidos do que os que aderem às crenças tradicionais
Conclusões provisórias
Uma vez que a pesquisa continua em andamento, apresentamos um esboço provisório das conclusões cabíveis até o presente:
- no que concerne às crenças, deus parece estar acima de todas;
- no entanto, as crenças cientificamente justificadas, na média, foram acolhidas com mais intensidade o que as crenças tradicionais
- as instituições de referência pessoal e social, em particular, a família e os amigos, foram vistas como as mais confiáveis;
- as instituições de suporte e aperfeiçoamento ocupam uma posição intermediária em termos de confiança;
- as instituições de imposição do consenso e do controle social foram consideradas as menos confiáveis, sobretudo as associadas com os poderes legislativo e judiciário;
- não foram identificadas, ao longo da pandemia, oscilações dignas de nota nos níveis de confiança das instituições;
- os sistemas de crenças interferem na avaliação das instituições, embora esta interferência deva ser analisada em cada caso particular.
- os modelos obtidos demandam a inclusão de variáveis psicossociais e sociodemográficas como elementos que contribuem para a explicar a confiança nas instituições.







Ansioso por ler o andamento da pesquisa. Além disso, h’um comentário que eu achei que devesse fazer. Me chamou a atenção de certas crenças estarem na base da lista, como “Inferno” e “Diabo”, para o fato de que essas opções podem ter sido assinaladas nestas posições não porque as pessoas que participaram da pesquisa têm menos “crença” no inferno e no diabo, mas porque elas podem ter julgado (à luz da própria religião) que assinalar essas opções mais acima poderia ser errado (moralmente, talvez?). Por isso, o destaque, na média, das crenças cientificamente justificadas pode ter sido causado não porque as pessoas acreditam mais teorias e hipóteses, mas porque negam a todo custo as crenças na base da lista.
CurtirCurtir