Em nosso esforço de contextualização dos estereótipos, obrigamo-nos a aceder a um plano mais amplo, a partir do qual possamos entendê-los no âmbito específico da história das relações entre os diversos grupos humanos. Esta decisão nos obrigou a repassar um repertório de conhecimento emprestado não apenas da história, bem como em áreas de conhecimento como a biologia, a paleontologia e a antropologia física. A elaboração de uma linha do tempo, no qual indicamos os principais eventos ocorridos na história do nosso planeta, desde as origens até a formação dos primeiros grupos humanos, tornou-se uma tarefa imperativa e, para tal, lançamos mão de inúmeras referências, a exemplo das obras Maps of time: an introduction to Big History (Christian, 2004), Philip’s Atlas of the World History (O’Brien, 2007), The History of the World (Roberts & Westad, 2013), How the universe works: Introduction to Modern Cosmology (Parnovsky & Parnovski, 2018) e The Oxford illustrated History of the World (Fernandez-Armesto, 2019).
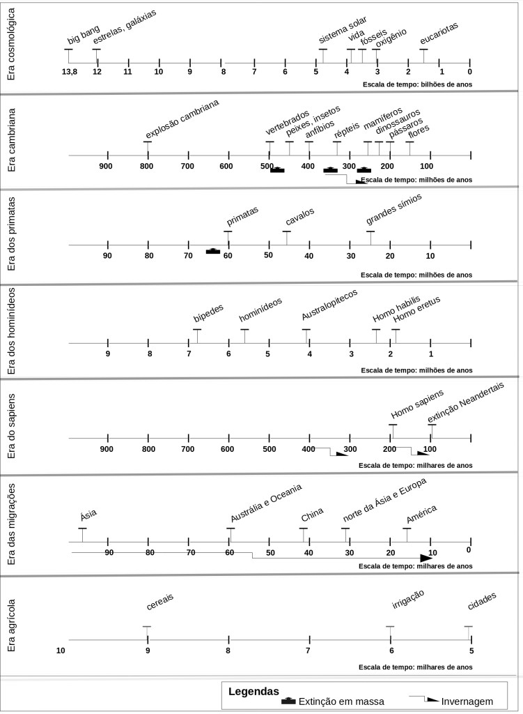
Com base nas obras citadas, além de outras aludidas ao longo do texto, elaboramos um gráfico, apresentado na figura 9, no qual estão representadas algumas destas linhas de tempo e os eventos mais significativos de cada período.
Iniciamos com a denominada era cosmológica. A escala temporal na qual se encontram representados os principais acontecimentos cósmicos e da história inicial do nosso planeta é de bilhões de anos e, nesse caso, apenas selecionamos um punhado de eventos. Acentuamos como o universo foi formado; a posterior constituição do sistema solar, do sol e do nosso planeta; a eclosão das primeiras formas de vida; o surgimento do oxigênio e a aparição de formas de vida que estão na base de organismos ainda mais especializados; os organismos complexos, multicelulares; o incremento acentuado de inúmeras formas de vida no período cambriano e, por fim, a extinção dos grandes répteis, abrindo espaço para o domínio dos mamíferos. A partir de então, enfatizamos o surgimento dos primatas, os hominídeos e a aparição do homo sapiens sapiens, e o seu posterior deslocamento geográfico a partir da África até alcançar todos os continentes conhecidos. Reconhecemos a importância do clima e discutimos como a ocupação da superfície terrestre foi marcada por transformações decisivas ocorridas nos últimos 50 mil anos para, finalmente, acentuar que após a última grande invernagem, ocorrida há cerca de 10 mil anos, os grupos humanos desenvolveram novas formas de organização social que resultaram não apenas em profundas transformações na superfície do planeta, como também na biosfera e nas camadas de gases que envolvem o nosso planeta.
2.2.1. Era cosmológica
A reflexão sobre o conceito de estereótipos deve ser conduzida numa perspectiva histórica, no sentido mais amplo que consigamos considerar. Isso significa tomar como ponto de partida as origens. Quais origens? A do ser humano? Não, recentíssimo. A origem da vida? Ainda muito recente. A do nosso planeta? Não ainda. O universo? A disciplina dedicada ao estudo da origem do universo é a cosmologia e os seus desenvolvimentos mais atuais nos levam a descartar a própria ideia de universo, substituindo-o pela estranha noção de multiverso (Carr, 2007).
Ainda que afirmemos sem receio que os estereótipos não surgem do nada, por incrível que pareça, até onde possamos suspeitar, tudo começou do nada e isto numa época em que, paradoxalmente, não seríamos capazes de conceber o tempo, muito menos imaginar o espaço. Há cerca de 13,8 bilhões de anos teria ocorrido uma grande explosão, denominada big bang e, um nadinha de tempo depois, durante uma fração de segundo, o universo se expandiu para, em menos de um piscar de olhos, finalizar este processo inflacionário primevo.
Esta expansão inicial criou um espaço meio achatado, marcado por irregularidades, ao tempo que expulsou qualquer objeto exótico do denominado horizonte cosmológico, ou seja, aquilo que se encontra ao alcance dos recursos científicos que dispomos na atualidade, pois os instrumentos científicos atuais não nos permitem enxergar além dos 42 bilhões de anos luz, o nosso horizonte cósmico visual. Pouco depois, as temperaturas extremas começaram a arrefecer e as pequenas irregularidades se transformaram em sistemas estelares, espalhados em conglomerados de galáxias. Por mais incomensurável que possamos imaginar o universo, para além dos corpos celestes imagináveis existe um mundo à parte, composto por uma matéria escura sobre a qual a ciência atual não consegue estabelecer um acordo, ainda que saibamos que o universo tem aumentado de tamanho e que esta expansão se torna cada vez mais acelerada, algo explicável pela existência de uma energia, também escura, sobre a qual sabemos menos ainda.
Podemos supor, à luz do conhecimento atual que, se o universo aquém do horizonte cosmológico é de uma grandeza estupenda e não deixamos de nos impressionar pelo tamanho, quantidade de galáxias, estrelas e planetas que se estima existirem, a parcela visível representa apenas cerca de cinco por cento da energia do universo, vez que este é constituído, na sua maior parte, por matéria e energia escuras. O universo continua em seu inexorável processo de expansão, cuja magnitude pode ser estimada pela aplicação da constante de Hubble. Não sabemos, em definitivo, qual será o destino do universo em que vivemos; se ele continuará a se expandir em um futuro distante ou se será extinto devido aos efeitos da matéria escura (Parnovsky & Parnovski, 2018).
Apesar das incertezas acima alinhavadas, temos bons motivos para acolher a crença cientificamente justificada de que há 4,8 bilhões de anos surgiram, praticamente ao mesmo tempo, o sol, o sistema solar e o nosso planeta. O processo de consolidação dos grandes corpos celestes é denominado acreação, que no nosso planeta só veio a se completar um bilhão de anos depois de iniciado. Sob o efeito de forças gravitacionais, a Terra se tornou um corpo celeste, uma esfera a girar a toda velocidade no espaço cósmico e ao se aquecer derreteu o núcleo composto por metais pesados, criando um campo magnético, impossível de ser detectado pelos nossos sentidos, mas decisivo para o posterior desenvolvimento e manutenção da vida e até hoje funciona como um escudo que limita o efeito das radiações cósmicas que continuam a atingir o nosso planeta.
Não muito depois da criação do nosso planeta surgiram as primeiras formas de vida, brotadas antes mesmo da finalização do processo de acreação. Explicar o surgimento da vida é uma questão difícil, sendo a hipótese mais aceita a de que este desenvolvimento dependeu de uma rara conjunção de condições ecológicas ótimas. Uma explicação alternativa, bem menos respaldada, sugere que a vida teria sido trazida para o nosso planeta no rastro de cometas ou outros viajantes cósmicos que incessantemente bombardeavam, e ainda bombardeiam, a superfície terrestre, uma hipótese que torna a explicação para o surgimento da vida ainda mais complexa. Das três hipóteses sobre o locus em que surge a vida, se no espaço, na superfície ou no interior da crosta terrestre, a que atualmente recebe mais suporte é a de que a vida não se originou na superfície, mas no interior do planeta, em um ambiente no qual o magma vulcânico em altíssimas temperaturas se encontrou com a gélida água oceânica das profundezas. Restos fósseis permitem estimar que há cerca de 3,5 bilhões de anos o nosso planeta acolheu as primeiras formas de vida, certamente primitivas, pois estamos falando de um mundo sem atmosfera. Apenas com o aumento no nível de oxigênio e a criação da atmosfera terrestre, algo ocorrido há cerca de 2,8 bilhões de anos, foram criadas as condições requeridas para a eclosão de organismos mais evoluídos, capazes de retirar da luz solar a energia necessária à sobrevivência, mediante o processo conhecido como fotossíntese. Estes organismos aptos a sobreviverem mediante o consumo de oxigênio e da energia emanada pelo sol se tornaram, posteriormente, elos centrais na cadeia alimentar, permitindo a eclosão de organismos bem mais complexos. Inicialmente compostos por células muito primitivas, sem núcleo, estes organismos, os procariotas, com o passar do tempo se tornaram cada vez mais aperfeiçoados, desenvolvendo estruturas capazes de cumprir as funções requeridas para as tarefas necessárias à manutenção de formas de vida mais complexas, as células eucariotas. Este processo, bastante longo, requereu outro bilhão e meio de anos para ser finalizado.
2.2.2. Era cambriana
Deixemos de lado o olhar cosmológico e passemos para uma outra escala, a planetária. Devemos considerar, conforme assinalou Clive (2019), uma conjunção de fatores físicos cujos efeitos se articularam com as injunções biológicas cujas manifestações se fizeram presentes ao longo da evolução das distintas formas de vida que se desenvolveram no nosso planeta. As mudanças climáticas, caracterizadas por ciclos de frio extremo e temperaturas mais amenas, as associadas às alterações na órbita do nosso planeta e às transformações na superfície suscitadas pelos movimentos tectônicos, criaram condições diferenciadas cujos impactos se manifestaram em níveis tão diversos quanto o planetário, o oceânico e o continental.
Além dos fatores climáticos, elementos inerentes à geografia física como a latitude, a longitude e a altitude, devem ser levadas em consideração para a compreensão das condições ecológicas que permitiram o surgimento e a sobrevivência de formas de vida mais complexas e, posteriormente, dos hominídeos e da espécie humana.
Um dos principais marcadores da trajetória evolutiva no nosso planeta foi a denominada explosão cambriana, que assinalou a passagem das formas de vida mais simples, surgidas há cerca de 3,5 bilhões de anos, para as formas mais complexas, cuja ocorrência se registra a partir dos últimos 800 milhões de anos. A vida surge no oceano primordial que ocupava a maior parte da superfície do planeta e também foram aquáticas as primeiras formas de vida mais complexas. No início do período cambriano, uma infinitude de formas aquáticas, vertebradas ou não, especialmente peixes, representava o bioma predominante no nosso planeta.
A literatura especializada identificou, neste período, duas grandes extinções em massa cujos efeitos se manifestaram entre 400 e 500 milhões de anos. Há cerca de 500 milhões de anos, a superfície do planeta conheceu um processo contínuo de mudanças, com a aproximação e o posterior afastamento de placas tectônicas até alcançar, há cerca de 60 milhões de anos, a forma atual com o desenho dos continentes e dos oceanos que ainda hoje somos capazes de diferenciar. É interessante notar que, após o início da movimentação das placas tectônicas, a vida sai do mar e migra para a crosta terrestre, desenvolvendo-se em cada continente segundo as suas próprias particularidades, mesmo preservando uma estrutura comum a todos os organismos.
Conforme observamos em algumas das linhas do tempo apresentadas na figura 10, o planeta em que vivemos conheceu sucessivos ciclos de calor, períodos nos quais as temperaturas mais amenas facilitavam as condições de sobrevivência e, de frio extremo, representados pelas linhas de invernagem. A história da vida no nosso planeta foi marcada períodos de extinção em massa e estes, embora possam ter suscitado o fenecer de biomas predominantes em cada uma das épocas, não representaram o extermínio total dos organismos e podem ser interpretados como funis ou filtros evolutivos. Se a maior parte dos entes viventes teve a condição de existência comprometida em cada uma destas crises, algumas formas de vida, em particular as dotadas de melhor capacidade adaptativa às novas condições ambientais, lograram sobreviver.
A parte terrestre do planeta foi inicialmente ocupada pelas plantas, ao tempo em que alguns animais, os anfíbios, desenvolveram estruturas biológicas favoráveis à adaptação tanto nos ambientes aquáticos quanto na superfície terrestre. Este predomínio dos anfíbios foi comprometido há cerca de 350 milhões de anos por um novo período de extinção em massa ao qual se seguiu a hegemonia dos répteis, cujo domínio também foi abalado quase duas centenas de milhões de anos depois por um novo e rigorosíssimo inverno. Novas condições favoreceram a sobrevivência de alguns répteis gigantes, os sauros, que dominaram o planeta antes de terem há cerca de 300 milhões de anos a sua história evolutiva definitivamente comprometida por um cataclismo cósmico; um meteoro de tamanho razoável que, à velocidade de cerca de 80.000 quilômetros por hora e em um ângulo de ataque fatidicamente mortal, explodiu contra a superfície do planeta abrindo uma cratera de um pouco mais de 30 quilômetros quadrados de extensão.
Quase nada sabemos sobre a vida social dos grandes sauros, pois as evidências identificadas a partir de achados encontrados nas covas coletivas destes animais não são suficientes para assinalar se eles apenas formavam agregados socialmente rudimentares ou se já apresentavam modalidades mais complexas de organização social (Hone, Farke, Watabe, Shigeru & Tsogtbaatar, 2014). Quais as pistas que nos interessam mais de perto por indicarem elementos importantes de organização social associados mesmo que, indiretamente, aos estereótipos e preconceitos? Segundo Lucas (2016), os sauros eram dotados de estruturas anatômicas visíveis (cristas e trompas, por exemplo) que permitiam identificar parceiros sexuais ou oponentes entre grupos de coespecíficos. Outros fatores inerentes à biologia também devem ser considerados, a exemplo do dimorfismo, a presença de elementos que permitem estabelecer a diferenciação entre machos e fêmeas numa mesma espécie, e as mudanças de tamanho ao longo do crescimento. Estes indicadores sustentam a suposição de que os sauros foram capazes de estabelecer diferenciações individualizadas a partir de critérios como o sexo ou idade, respectivamente (Fairbairn, Blanckenhorn, & Székely, 2007). Do ponto de vista das condutas foram encontrados em algumas espécies indicadores de cuidados parentais com as ninhadas. Por fim, evidências encontradas nas pegadas identificadas nos nichos em que eles viveram sugerem que indivíduos de grupos semelhantes compartilhavam uma mesma trilha de terreno, a qual diferia das utilizadas por outros grupos de sauros; um indicador de uma organização social primitiva, porém, relativamente complexa. Ainda que possam persistir dúvidas sobre o quanto o impacto de uma rocha estelar tenha sido suficiente para acarretar o fim da era dos dinossauros, a literatura especializada sugere que após o cataclismo produzido pelo impacto do meteorito sobreviveram aproximadamente 25% das formas de vida existentes; em especial, crocodilos, tartarugas, pequenos répteis, tubarões, peixes, pássaros e, obviamente, alguns mamíferos, sobretudo os de pequeno porte protegidos em locas e cavernas nas quais encontraram abrigo frente ao inclemente inverno que se seguiu aquele fatídico dia.
2.2.3. Primatas
Dentre os mamíferos, o nosso interesse reside na evolução de um tipo particular, os primatas, cuja primeira aparição se suspeita ter ocorrido há cerca de 60 milhões de anos na África. Uma grande mudança evolutiva ocorreu há cerca de 25 milhões de anos e foi marcada pelo surgimento de uma classe particular de primatas, os grandes símios, os quais que deram origem aos gorilas e chimpanzés que habitavam onde hoje é a África, e aos orangotangos, que se dispersaram pela atual Ásia.
A adaptação dos primatas à vida na copa das árvores por certo gerou mudanças no plano perceptual e cognitivo. Se movimentar rapidamente entre os galhos das árvores sem despencar no espaço vazio depende do desenvolvimento da percepção da profundidade, bem como da habilidade de utilizar as extremidades dos membros superiores para a preensão, sustentação e imposição de oscilações pendulares cujos impulsos favorecem o gerenciamento e a guia dos movimentos corporais.
Com o passar do tempo, identificou-se uma transformação evolutiva ainda mais decisiva; há cerca de 7 milhões de anos alguns primatas desenvolveram uma habilidade fundamental, o bipedismo. Os estudiosos elencam uma série de vantagens relacionadas a andar sob dois pés e liberar as mãos; uma delas é o fato de que os animais habilitados a se movimentarem apenas com os membros inferiores se tornaram capazes de levantar a cabeça e vasculhar o ambiente de uma forma muito mais efetiva do que os seus primos que viviam com a cara enfiada no chão. Esta postura representou um enorme ganho para as estratégias de defesa contra os predadores. Andar sobre duas pernas também permitia se afastar das florestas e adentrar velozmente em campos abertos, enveredando nas savanas em busca de alimento sempre que os recursos de sobrevivência obtidos nas florestas fechadas se tornassem escassos. A posição bípede liberou as mãos para o manuseio cada vez mais especializado dos recursos encontrados na natureza e essa liberdade, aperfeiçoada a cada geração, terminou por produzir reflexos no desenvolvimento do sistema cortical, ampliando cada vez mais as habilidades cognitivas transmitidas aos descendentes e preparando a aparição de uma espécie cujo surgimento ocupa um papel decisivo no nosso relato, os hominídeos. Afora isto, a posição bípede limitava a superfície corporal exposta à inclemência dos raios solares, o que proporcionou mudanças significativas na aparência destes primatas, diferenciando-os cada vez mais dos seus antecessores.
2.2.4. Hominídeos
De pequena estatura e perfeitamente adaptadas ao bipedismo, as linhagens de hominídeos derivadas dos primatas se aproveitaram das vantagens evolutivas acima enumeradas e se expandiram ao longo dos quatro milhões de anos subsequentes, ocupando a parte central da África, numa região hoje compreendida entre o Quênia, a Etiópia e a Tanzânia e, quando as condições assim o permitiram, se espalharam pela África e atingiram a parcela da Ásia menos sujeita às inclemências do clima (O’Brien, 2007).
Evidências obtidas na atualidade sugerem que os parentes relativamente mais próximos dos humanos modernos foram os australopitecos, cujos primeiros registros retroagem há cerca de quatro milhões de anos. De maior envergadura que os antecessores, estes hominídeos mediam um pouco menos de um metro e meio de altura e possuíam uma estrutura cerebral estimada em cerca de 380 a 450 cm3, pouco volumosa se comparada aos 1478 cm3 do homo sapiens. Bípedes, os australopitecos também se encontravam perfeitamente adaptados à vida na copa das árvores. No que tange à vida social, as evidências permitem supor que viviam em pequenos grupos familiares, supostamente organizados numa estrutura social hierarquizada sob o domínio de um macho e com as fêmeas dedicadas aos cuidados da prole. Ainda que a sobrevivência dependesse da coleta de frutos, raízes e de carcaças de animais encontradas na natureza, é possível supor que tenham sido capazes de coordenar algumas ações entre membros do grupo para atingir determinados fins como, por exemplo, a caça de animais de pequeno porte. Em relação à cultura, é admissível pensar que tenham desenvolvido algum sistema de comunicação, embora a análise da estrutura esquelética dos fósseis remanescentes descarte a presença de um aparelho fonador, o que obstou a capacidade de vocalização e inibiu o surgimento de sistemas simbólicos mais sofisticados.
Não é demais insistir que o desenvolvimento dos hominídeos e a expansão territorial exigida pelo esgotamento dos recursos do local em que viviam dependia decisivamente das condições climáticas. A história evolutiva do nosso planeta foi marcada por períodos de intensas mudanças climáticas nas quais se alternavam ciclos de invernos glaciais que tornavam a sobrevivência extremamente penosa para os organismos vivos e períodos de aquecimento acentuado ao qual se seguia o consequente degelo e as posteriores modificações da superfície habitável do planeta. Estas mudanças climáticas impuseram desafios evolutivos significativos aos organismos e acarretaram a extinção de muitas espécies de hominídeos.
Os estudiosos identificaram uma série de subespécies do gênero homo cujos recursos biológicos e evolutivos se mostraram insuficientes para superar uma corrida de obstáculos, cujo grande prêmio foi a sobrevivência. O homo habilis e o homo eretus talvez tenham sido os mais conhecidos e estudados hominídeos a não conseguirem superar essa travessia. O homo habilis, cujos primeiros registros retroagem a dois milhões de anos, dispunha de uma capacidade cerebral entre 600 a 800 cm3; nada notável para os parâmetros atuais, mas que, em consonância com o nome pelo qual foram batizados, tornava-os definitivamente capazes de criar artefatos e utensílios diferenciando-os, assim, dos seus antecessores que apenas utilizavam os objetos disponíveis na natureza. Esta nova classe de artefatos culturais facilitou o acesso a uma dieta de base animal, embora provavelmente os instrumentos cortantes tenham sido utilizados sobretudo para facilitar o manuseio da proteína obtida em carcaças de animas mortos naturalmente ou abatidos por outros predadores. Ainda que, a exemplo dos australopitecos, descessem das árvores em busca de alimentos e para caçar, grupos de até 15 indivíduos se refugiavam na copa das árvores ao cair da noite em busca de proteção contra os predadores e os irremediáveis perigos suscitados pela escuridão.
Um elemento decisivo no domínio do meio ambiente foi a utilização do fogo e, nesse particular, se os hominídeos ainda não dispunham de tecnologia suficiente para criá-lo, parecem ter sido capazes de utilizar os focos de incêndio encontrados no mundo natural, fossem os causados pelos raios ou os encontrados nas imediações dos inúmeros vulcões ativos à época.
Em que medida o domínio do fogo interferiu na evolução dos hominídeos e no caminho para a humanização? Reconhecer que nos tornamos humanos é uma coisa; saber como isso ocorreu é algo muito diferente. Ainda que encontremos à disposição inúmeras respostas para esta questão, elas diferem em relação ao poder persuasivo e, consequentemente, em relação à maior ou menor aceitação entre os estudiosos. As diferenças do tamanho do cérebro entre os humanos e os demais hominídeos representam o principal registro a partir do qual esta discussão é enfrentada, prevalecendo o entendimento de que as pressões decorrentes das vicissitudes inerentes a uma vida social agitada devem ter exercido profundas marcas na nossa história evolutiva. Uma destas hipóteses sustenta que o cérebro humano cresceu pela própria natureza dominadora dos hominídeos, que no afã de estabelecer e manter o controle territorial passaram a criar organizações com a finalidade de planejar e executar atividades de guerra contra os outros grupos. O aumento do volume do cérebro seria uma consequência da violência intergrupal entre os primeiros agrupamentos de hominídeos (Alexander, 1987). Uma alternativa explicativa enfatiza muito mais a dimensão ecológica do que a social ao acentuar a importância de manter o território em que se vive mapeado e o quanto criar mapas mentais para territórios cada vez mais extensos demandou um maior poder de processamento cerebral (Grine, Fleagle, & Leakey, 2009). A hipótese do cérebro social sustenta que as atividades cognitivas associadas às inúmeras demandas impostas pela manutenção dos laços entre os membros de um grupo representaram um passo decisivo para o aumento do volume do cérebro (Dunbar, 2009). Uma das hipóteses mais curiosas sobre esta questão foi formulada no livro Dominando o fogo: como cozinhar nos tornou humanos. Como indicado pelo nome da obra, Wrangham (2009) sugere que o domínio do fogo ou, para ser mais exato, da arte de cozinhar, proporcionou as mudanças anatômicos e comportamentais que marcaram a diferenciação no plano evolutivo entre o homo sapiens e os seus antecessores mais imediatos. O cozimento, ao transformar o valor dos alimentos, foi capaz de modificar o cérebro, as dimensões faciais e a extensão dos intestinos dos nossos antepassados, transformando-os fisicamente.
Os fogos eram os modos mais comuns de cozinhar os alimentos e o uso estendido das fogueiras possibilitou ao frágil hominídeo abandonar os galhos das árvores nos quais se encerrava para passar a noite e se livrar dos predadores de maior envergadura e passar a dormir no solo. Uma fogueira ardendo durante toda a noite introduz novas modalidades de gerenciamento do tempo, pois as longas horas entre o pôr do sol e a alvorada passam a ser mais bem aproveitadas, parcialmente ocupadas por um período dedicado ao sono e uma outra parcela do tempo passa a ser dedicada às conversações no entorno da fogueira. Além disso, a atividade de cozinhar demanda muito a quem a ela se devota; o tempo dedicado à preparação dos alimentos e a acompanhar o cozimento dos alimentos não é curto, o que demanda a introdução de rotinas nos afazeres, cujo impactos se mostraram decisivos na distribuição das atividades de coleta e de caça e impuseram consequências no que concerne à divisão sexual do trabalho.
O domínio do fogo significou muito em termos de mudanças de hábitos alimentares, pois novas classes de alimentos passaram a ser consumidas, a exemplo de tubérculos e sementes. A apropriação do fogo também permitiu o desenvolvimento de estratégias de defesa mais efetivas contra os predadores, assim como possibilitou uma mudança significativa na utilização do espaço físico, vez que permitiu a exploração e a ocupação de cavernas, promovendo a criação de ambientes menos úmidos, mais confortáveis e aquecidos; ademais, representou uma ruptura com o ciclo repetitivo da natureza ao trazer luz para um espaço antes dominado pelas trevas. Alguns indivíduos se especializaram na manutenção e manuseio deste elemento misterioso capaz de aquecer os dias frios e iluminar as noites escuras. O surgimento dos demiurgos ou mágicos pode , pode ser interpretada como uma forma seminal de divisão social do trabalho.
O homo eretus, de origem um pouco mais recente, maior envergadura e com o cérebro um pouco maior, entre 850 e 1000 cm3, se mostrou bem mais adaptado que os seus antecessores, tendo os últimos exemplares sobrevivido até cerca de 15.000 anos (Roberts & Westad, 2013). Um cérebro mais volumoso representou uma mudança significativa em termos de estrutura física já que deveria se aninhar em uma caixa craniana mais avantajada, o que representava um desafio formidável durante o trabalho de parto. A solução evolutiva, a prematuridade no nascimento, impôs uma mudança significativa em relação aos cuidados dispensados aos nascituros, cuja sobrevivência se tornara inteiramente dependente dos cuidados do grupo que os acolhiam. Possivelmente, a diferenciação entre os papéis sexuais se origina neste momento da evolução. A interpretação dominante, algo contestada, postula uma diferenciação entre cuidadores, as fêmeas dedicadas aos cuidados de uma prole imatura e indefesa, e provedores, os machos responsáveis pela faina diária necessária à provisão dos recursos alimentares.
O desenvolvimento de um cérebro de grande porte não representou problemas apenas durante o trabalho de parto. Um volume cerebral maior impõe um padrão diferenciado nos gastos energéticos, o que resulta em mudanças nos ritmos de consumo calórico e, consequentemente, mudanças nos hábitos alimentares. Uma dieta de base vegetal não supria mais as exigências calóricas exigidas por um organismo com demandas metabólicas inerentes a um cérebro dissipador de energia. A ingestão de alimentos de origem animal, como peixes, comuns nas regiões costeiras, mostrou-se essencial para atender às necessidades impostas por um cérebro dissipador de recursos energéticos.
Um maior consumo calórico para a atender a um cérebro mais exigente impôs novas exigências metabólicas, o que aumentou a temperatura corporal, algo ainda mais complicado por se tratar de um organismo que já evoluíra até o bipedismo, tornando-se apto a se deslocar rapidamente cobrindo distâncias razoáveis a uma boa velocidade, um fator de incremento à temperatura corporal. Como os organismos mais complexos são mais sensíveis às mudanças de temperatura interna, pois não resistem às condições extremas de hipotermia, muito menos a um leve aumento na temperatura interna, configurou-se um cenário extremamente exigente para a sobrevivência, o que representou um enorme desafio para o desenvolvimento dos hominídeos, pois o calor produzido simultaneamente pela atividade cerebral, pelas atividades metabólicas provenientes de uma dieta calórica e pelo movimento corpóreo precisava ser dissipado para evitar os riscos da hipertermia. Qual o mecanismo de dissipação de calor por excelência?
A ação das glândulas sudoríparas desempenha um papel decisivo na redução da temperatura interna, pois o suor ao evaporar refresca os órgãos, os tecidos e as células (Jablonski, 2012). Neste cenário, por si muito complicado, ainda se adicionava um agravante, pois a constituição física dos primeiros hominídeos impunha a questão de eliminar o suor em um corpo coberto por pelos. Como enfrentar este desafio? A solução evolutiva foi substituir os pelos, e todo o potencial de proteção representado por esta estrutura biológica, pela epiderme. Esta saída, no entanto, suscitou novos problemas, pois o macaco nu, para aludir ao nome de uma obra muito conhecida (Morris, 1967), precisava enfrentar três grandes problemas decorrentes desta transição: 1) se proteger das lesões resultantes dos contatos com um bioma vegetal não exatamente amistoso para uma pele sensível, dada a presença de galhos, espinhos e demais materiais cortantes e perfurantes encontrados amiúde na vegetação; 2) se resguardar contra o efeito nocivo das substâncias abrasivas e de outros fatores insalubres encontradas no ambiente, a exemplo da salinidade, dos ventos e das partículas de areia; e 3) se furtar à ação daninha dos raios ultravioletas, pois o nicho habitável para os hominídeos inicialmente se restringia à zona equatorial, onde os efeitos dos raios solares eram, e ainda são, mais intensos e deletérios.
Conforme salientado por Jablonski (2012), a solução evolutiva para a proteção dos materiais abrasivos e dos incômodos da vegetação nativa foi a constituição de um escudo de proteção, a camada de queratina, tornando a pele menos sensível aos efeitos externos, enquanto a estratégia de salvaguarda contra os raios ultravioletas foi o escurecimento da pele. O agente responsável pela proteção da pele contra os raios solares, a melanina, é uma substância intimamente associada à cor da pele, pois quanto maior a concentração de melanina, mais escura tende a ser a pele. É de se supor, portanto, que os primeiros humanos, por habitarem as regiões equatoriais, tenham ostentado tons de pele mais escuros, um fator de proteção contra o perigo da radiação ultravioleta. Conforme observado nas setas encontradas na figura 10, os hominídeos, no processo de expansão pelas diversas regiões do planeta, ao saírem da África Equatorial em direção às latitudes mais altas, e como tais menos sujeitas à incidência direta dos raios solares, terminaram por se adaptar, inclusive na cor da pele, às imposições destes novos ambientes físicos. Os efeitos da interação entre a pele humana, a latitude e a incidência dos raios solares estão identificados nas linhas que acompanham a dispersão do homo sapiens nos diversos continentes. Quanto mais próxima à linha do Equador, mais escura tende a ser a representação da cor da pele, e à medida em que a população se afasta em direção às regiões mais temperadas, mais clara tende a ser a cor da pele.
Uma outra habilidade creditada ao homo eretus é a caça de animais de grande porte. Esta atividade exigia alguma ação coordenada entre os membros do grupo, denotando alguma capacidade comunicativa ou, o mais provável, o desenvolvimento de formas rudimentares de linguagem. Podemos especular, ademais, que em algumas circunstâncias deve ter ocorrido algum tipo de colaboração entre os grupos diferentes no sentido de tornar mais eficiente as expedições de caça. As inúmeras trocas entre estes pequenos grupos de caçadores representam as modalidades iniciais de aprendizagem social, sendo possível postular que algumas soluções encontradas pelos grupos de caçadores de maior sucesso tenham sido ensinadas e aplicadas durante estas campanhas. Uma expedição bem-sucedida determinava não apenas o trabalho de dividir de forma justa a presa entre os vários grupos participantes da empreitada, mas também demandava o esforço adicional de transportar cada quinhão para os locais nos quais se encontravam cuidadores e jovens. A posse deste excedente alimentar pode ter criado as condições que suscitaram a emergência das atividades culturais e de lazer. Desafortunadamente as capacidades evolutivas do homo eretus não se mostraram suficientes para superar a corrida da sobrevivência, embora alguns grupos remanescentes tenham resistido até bem pouco tempo. A trajetória dos hominídeos no nosso planeta se estendeu durante quase um bilhão de anos, sendo aceitável imaginar que nesse período foram surgindo subespécies ainda mais aperfeiçoadas, a exemplo do homo heidelbergensis, de capacidade cerebral ainda maior (1204 cm3) e os neandertais, que com os seus 1426 cm3 de cérebro já se aproximavam bastante dos atributos característicos dos humanos modernos.
2.2.5. Era do sapiens
À luz do conhecimento atual não é possível assegurar nem quando, nem onde surgiram os humanos modernos. Conforme assinala Maryansky (2013), a datação dos fósseis dos primeiros registros de hominídeos com o jeitão de humanos indica que eles habitaram o planeta em torno de 150 a 200 mil anos atrás. A baixa variação do background genético humano, constatada mediante a comparação da variabilidade do genoma humano com a dos chipanzés, sugere a presença de um evento poderoso que criou um gargalo pelo qual boa parte das espécies não foi capaz de superar. O nosso planeta, conforme assinalado, sempre esteve sujeito a intensas variações climáticas, alternando ciclos de calor e eras glaciais. Os organismos sobreviventes por certo estavam preparados para lidar com as constantes alterações climáticas, podendo-se supor que se salvaram por terem desenvolvido estruturas especializadas capazes de permitir uma ampla maleabilidade de respostas às mais diversas demandas. Essas estruturas aos poucos foram se ajustando às mais diversas condições ambientais e sociais e devem ter fornecido as condições requeridas para a sobrevivência da espécie humana.
Parece-nos lícita a hipótese de que o desenvolvimento da nossa espécie se deu a partir de antepassados que se caracterizavam por uma baixa variabilidade no genoma e uma enorme plasticidade nas condutas. A baixa variabilidade do genoma humano sugere que um número muito reduzido de hominídeos tenha superado a uma dessas eras catastróficas, estimando-se que o número de sobreviventes de um desses períodos não deve ter ultrapassado a casa da dezena de milhares de indivíduos e obrigando-nos a admitir que, se somos originários desses poucos indivíduos, as semelhanças entre os humanos são bem mais acentuadas do que as diferenças que nos afastam. Ainda é possível supor que, se estes indivíduos não tivessem vivido em grupos e em algumas circunstâncias não tivessem formado coalizões, as chances de sobrevivência teriam sido ainda mais reduzidas (Kurzban, Tooby & Cosmides, 2001).
Esta enorme variação das condições ambientais, ao exigir a implementação de estratégias diferenciadas de sobrevivência a depender do meio ambiente, favorece a aceitação da hipótese de que os primeiros humanos devem ter encontrado soluções semelhantes para enfrentar os desafios aos quais se encontravam sujeitos. Apesar de diferenças culturais, das decorrentes do clima, dos demais fatores ambientais e das variabilidades históricas inerentes a trajetória de cada grupo social, somos membros de uma mesma espécie e compartilhamos com os nossos coespecíficos uma herança comum, pois utilizamos soluções semelhantes diante dos recorrentes problemas demandados pela sobrevivência.
O domínio do fogo exerceu um papel decisivo na adaptação do homo sapiens às novas condições ambientais Uma das consequências mais importantes do domínio do fogo foi a criação da cultura oral, o desenvolvimento da arte de contar histórias em torno de fogueiras. Nessas rodas de conversa, além da narrativa dos eventos cotidianos e a descrição dos fatos ocorridos durante o dia, abria-se a possibilidade de se discutir assuntos não tratados durante as atividades diurnas de caça e coleta (von Hippel, 2019), o que favoreceu a expressão de brincadeiras, de pilhérias, de zangas e de afinidades. No período noturno, ao redor da fogueira e protegido das criaturas da noite, configurou-se um espaço privilegiado para contar histórias e, durante as narrativas nos quais os sons humanos se misturavam com o crepitar das fogueiras, lições eram ensinadas e os padrões de condutas apropriados para vida em comunidade eram insinuados e exemplificados.
Os conteúdos dessas conversas representaram uma base de conhecimentos; este repertório possibilitou o acúmulo e a preservação de ensinamentos muito antigos. Durante estas conversas ao redor da fogueira, as pessoas não apenas aprendiam as lições ensinadas por jovens e velhos, mas também passavam a compreender o funcionamento do grupo e da comunidade em que viviam. Aos poucos, as pessoas devem ter começado a perceber as diferenças nas opiniões e, mais do que isso, a entenderem com os julgamentos sobre um mesmo evento poderiam ser diferentes a depender da pessoa e das pessoas do grupo no qual se encontravam. Supor que as outras pessoas também pensam, e compreender que o entendimento a respeito do mundo dessa pessoa difere do nosso, representou um salto enorme na evolução da espécie humana, ao criar um modelo inicial de teoria da mente. Se sabemos o que habita os nossos pensamentos, ao tempo em que reconhecemos que os outros também pensam e que estes pensamentos ora são condizentes com o que pensamos, ora não, então passamos a ter a possibilidade de antecipar as condutas em relação aos outros, ao sermos capazes de imaginar o que eles podem fazer, com quem podemos estabelecer alianças e aqueles em relação aos quais devemos manter uma certa distância. Perceber o outro se torna tão importante quanto auscultar os sinais da natureza. Identificar não apenas as reações, mas também as intenções dos outros abre a possibilidade de identificar um novo conjunto de emoções, além das básicas, e permite a assunção de sentimentos como o orgulho de pertencer a um grupo, a culpa por ter falhado em relação ao esperado e a vergonha de não ter sido capaz de atender as expectativas depositadas pelo grupo. Conforme salienta von Hippel, a formulação de uma teoria da mente permitiu ao ser humano aperfeiçoar os meios de ensino e de aprendizagem. Passamos a contar com a possibilidade de reconhecer que não sabemos fazer algo, de atinar que um outro não apenas domina a habilidade que nos falta, como também que sabe que não sabemos o que ele sabe, como também que ele possui a habilidade de nos ensinar aquilo que sabe e que queremos aprender. Uma teoria da mente, acentua von Hippel, não apenas aperfeiçoa a capacidade humana de aprender, mas também favorece o surgimento de um outro fenômeno marcante na trajetória da humanidade, a mentira, a pura e simples manipulação do conhecimento com o objetivo de alcançar metas não exatamente almejadas pelo grupo.
Desenvolver uma teoria da mente representou um passo decisivo no desenvolvimento da espécie humana, permitindo o surgimento do que o historiador Yuval Noah Harari chamou de revolução cognitiva. O ser humano, ao se tornar capaz de superar as experiências imediatas dos sentidos e deixar de se preocupar apenas com os afazeres da vida cotidiana, passou a viver em um mundo no qual o impacto das ideias abstratas e descoladas das demandas imediatas se tornou decisivo. Isto significou falar e levar a sério o que os outros comunicavam sobre coisas que não existiam, não podiam ser vistas, tocadas ou escutadas. A revolução cognitiva se alicerça em lendas e mitos, nos deuses e nas religiões. Estas entidades não apenas passam a ser interpretadas como reais, como também se torna plausível admitir que elas se interferem nas forças da natureza e se insinuam no mundo dos vivos. Acolhidas pela coletividade, intervêm decisivamente na maneira pela qual os agrupamentos e, posteriormente, as sociedades humanas se organizam. Os efeitos destas ficções foram reais, muito embora estivessem fundamentados em ideias absolutamente sem fundamentos na realidade física.
Como este mundo ficcional se tornou tão importante para a sobrevivência do homo sapiens? Harari considerou três linhas de argumentos. A primeira razão aduz que esta dimensão ficcional sustentou e ofereceu respaldo à ordem material. Os mitos de legitimação da realidade dependem de um mundo material, no qual os desejos e as crenças funcionam como uma liga entre o que se acredita e o que se apresenta. Neste mundo, no qual as distinções ganham legitimidade através dos mitos, as diferenças se refletem na distribuição e circulação tanto dos bens materiais quanto dos recursos simbólicos associados ao prestígio e à influência social. Uma segunda justificativa procede do fato de que todo e qualquer ser humano vem ao mundo em um grupo social que está de antemão inserido em um contexto social no qual os mitos de legitimação desempenham um papel proeminente. Tudo aquilo que desejamos, sonhamos e almejamos é balizado por esta ordem imaginária e se circunscreve ao lugar que ocupamos no mundo. Não desejamos nada muito além do que encontramos no nosso horizonte; limitamo-nos a almejar aquilo que consideramos razoável dentro do campo de possibilidades que imaginamos condizente com as aspirações das pessoas do nosso grupo e do nosso meio social. Um terceiro fundamento para essa revolução cognitiva se refere à extraordinária capacidade humana de viver ao mesmo tempo numa ordem objetiva, em um mundo subjetivo e, principalmente, ao advento das relações intersubjetivas. A linguagem não serve apenas para assinalar ostensivamente os perigos objetivos presentes na vida, a exemplo de um carro que se aproxima a toda velocidade ou fundamentar a certeza subjetiva de que corremos algum risco ao adentrar em locais insalubres. A intersubjetividade se refere ao domínio da comunicação, às distintas maneiras pelas quais compartilhamos as nossas impressões do mundo com os outros e a maneira pela qual os outros nos informam um pouco a respeito das coisas que percebem e pensam sobre nós e sobre os demais. Usamos a nossa linguagem para estabelecer acordos com as outras pessoas, mas também para deixar claro como pretendemos agir e esperamos que todos ajam. Na dimensão da intersubjetividade habita as expectativas que temos a respeito de cada um dos agentes físicos e humanos que se apresentam no mundo em que vivemos. A intersubjetividade oferece o alicerce para que acolhamos os acordos que nos unem e entendamos as diferenças que nos afastam dos nossos e dos outros.
Quais as consequências mais agudas da revolução cognitiva? Segundo Harari (2020), a partir do momento em que o ser humano passa a se preocupar sobre e a conversar com outros humanos a respeito de coisas que não se apresentam na imediaticidade, incorporando nas conversações elementos de linguagem mais abstratos, a exemplo dos sistemas de crenças, dos mitos de fundação e das lendas sobre a origem, foram criadas as condições necessárias para o surgimento das organizações sociais de maior complexidade. Estas organizações impuseram o trabalho cooperativo entre um número grande de pessoas e o monitoramento destas atividades não mais demandava um modelo disciplinador centrado na aplicação de castigos. Os mitos e as ficções oferecem os meios para que as pessoas continuassem a fazer o que delas se esperava; a obediência se impôs de uma maneira bem mais funcional do que a que se mantinha pela imposição da força. Este mundo, no qual as pessoas se esmeram em realizar as coisas que não lhe interessam, pois sabem que existe uma ordem mágica que as obriga a seguir obedecendo, se torna um campo fértil para o surgimento das inovações, e elas se refletem não apenas nas transformações inerentes às organizações sociais, como também nas mudanças tecnológicas que permitiram as gerações subsequentes ampliar o domínio sobre a natureza e sobre os outros.
2.2.6. A grande viagem
Descendentes de primatas mais antigos, os primeiros hominídeos foram responsáveis pela introdução de uma série de práticas, cujo impacto foi absolutamente extraordinário. Para fazer frente às condições de sobrevivência em ambientes pouco hospitaleiros elaboraram artefatos cortantes a partir da preparação e polimento de rochas encontradas na natureza, sendo especialmente marcante a criação de formas rudimentares do machado, um artefato tão útil para a defesa quanto importante para a sobrevivência. Ao se apropriarem dos benefícios e do poder de transformação do fogo acentuaram as propriedades positivas de pedras, rochas, plantas e raízes, utilizando-as para a elaboração de tinturas e poções. Nas andanças em busca de novos espaços de exploração deram conta da presença das ervas e plantas medicinais e, identificados os meios de explorá-las, encontraram alívio para muitas dores e um meio de fazer frente a algumas enfermidades. Afortunadamente, encontraram determinados tipos de objetos e foram capazes de moldá-los; transforma-os em projéteis, em especial flechas, as quais lançadas por propulsores recém-inventados atingem enormes distâncias, o que aumentou ainda mais os recursos de caça e os estratagemas de proteção contra os predadores, humanos e não humanos.
Estes primeiros ensaios de domínio da natureza, embora considerados importantes, não invalidam a tese de que a expansão geográfica humana se tornou particularmente marcante apenas nos últimos 50 mil anos (Gamble, 2019). Se, até esta época a espécie humana restringia seus movimentos ao espaço representado no quadrado acinzentado encontrado na figura 10, a partir de então se desencadeia um grande salto na ocupação da superfície terrestre, dada à ampliação em escala planetária do domínio humano sobre a natureza, tal como pode ser depreendido pelas setas plotadas na figura, elaborada a partir do quadro de distribuição da população encontrado em Jablonski (2012) e Gamble (2019).
A expansão da população humana ocorre sobretudo em função das necessidades alimentares impostas pelas mudanças climáticas. Sucessivas ondas de frio e inúmeros períodos de seca reduziram substancialmente os recursos alimentares nas regiões tropicais, ocasionando a migração das manadas de animais de grande porte, o que fez com que a população de humanos passasse a seguir os passos dessas manadas, ao tempo em que outros grupos se dirigiram para as regiões costeiras em busca de recursos alimentares mais abundantes. Este duplo movimento migratório está representado no fluxo (1) encontrado na figura 10, no qual podemos identificar um grupo populacional que se desloca em direção ao sudeste da África e um outro que se movimenta em direção ao sudeste até alcançar a Ásia. Há cerca de 50 mil anos se registra um novo fluxo migratório, representado pela seta (2), o que permitiu à espécie humana chegar inicialmente nas ilhas do Pacífico Sul e, algum tempo depois, alcançar o continente australiano. Um terceiro fluxo migratório iniciado há cerca de 50 mil anos espalhou alguns grupos populacionais pela região mais ocidental da Ásia. Neste mesmo movimento, parte desta população migra ainda mais para o norte (4), desmembrando-se em dois fluxos migratórios, um direcionado para a Europa Ocidental e outro para o noroeste da Ásia. Uma parcela da população asiática estabelecida nas regiões costeiras inicia um novo fluxo migratório até o norte (5), atingindo regiões mais centrais da Ásia. Alcançar o continente americano demandou condições climáticas apropriadas e exigiu muito tempo, ocorrendo apenas há cerca de 15 mil anos, quando um novo fluxo migratório (6) permitiu a chegada da população ao continente americano após cruzar o Estreito de Bering. Esta população recém-chegada imediatamente inicia uma nova jornada (7), tanto em direção ao nordeste quanto em direção às regiões mais tropicais, alcançando a América Central e, em seguida, a América do Sul. Estes grandes movimentos de ocupação do planeta se encerram com os fluxos migratórios da população asiática em direção às ilhas mais remotas da Oceania e à Ilha da Páscoa (8).
O mapa deixa claro que a ocupação do planeta não ocorreu de uma hora para outra, estimando-se que a extensão dos domínios geográficos pelo ser humano não ultrapassava algumas centenas de metros por dia. As datas apresentadas no relato estão sujeitas a debate, sendo particularmente instigante os estudos que apontam evidências de que a ocupação do continente americano teria ocorrido há cerca de 30 mil anos.
Independente da maior ou menor precisão das datações, o importante é assinalar que nos espaços recém-conquistados, muito diferentes entre si, a espécie humana se defrontou com novas condições, o que impôs ajustes nas dietas e o desenvolvimento de novos hábitos alimentares. Ao atingir as zonas litorâneas se permitiu desenvolver artefatos rudimentares de pesca, que representaram um acréscimo considerável no inventário de alimentos encontrado à disposição.
Anzóis e outros recursos de pesca têm sido estudados como exemplos das grandes mudanças suscitadas pelos recursos encontrados nos novos espaços de exploração, indicando o quanto a ocupação humana correu em paralelo com o constante aperfeiçoamento de novos recursos tecnológicos. Com o tempo, os artefatos crescem em quantidade e qualidade, sendo plausível imaginar que os humanos pouco a pouco passaram a experimentar novos e distintos materiais antes de encontrarem soluções engenhosas, tornando os apetrechos cada vez mais eficientes. É de se imaginar, portanto, que as soluções de modelagem de parco sucesso tenham sido prontamente abandonadas, enquanto as mais bem-sucedidas tenham sido retidas. Este movimento não somente proporciona uma maior variedade de objetos, como também se torna decisivo no longo percurso em direção a uma padronização cada vez mais acentuada dos artefatos culturais.
Além da padronização dos artefatos criados pela destreza humana, a expansão territorial acarretou uma nova ordenação do espaço físico, algo que transparece nas ruínas pré-históricas ou nos monumentos construídos a partir de blocos de pedras obtidos em locais distantes e transportadas intencionalmente com a finalidade de erigir estas instalações. Estes espaços testemunham as primeiras formas de expressão artística, especialmente a pintura rupestre, como também se tornaram locais privilegiados para a celebração de cerimônias e rituais religiosos, cujas marcas ainda encontram expressão em monumentos mortuários com alto grau de elaboração.
As inovações tecnológicas anteriormente referidas representaram não apenas o domínio de novos espaços, pois elas estão associadas com uma ampliação extraordinária das pautas de conduta. Se até então era possível supor um retrato relativamente comum dos padrões alimentares, das práticas sociais e dos padrões de condutas dos grupos humanos, a ocupação de novos espaços e os desafios ecológicos representados por viver em locais distantes e inóspitos impuseram a ampliação das rotinas e a introdução de novas pautas comportamentais.
A adaptação humana a estes novos ambientes demandou especializações cada vez mais acentuadas nas condutas individuais e grupais, assim como uma série de transformações sociais e culturais que manifestaram mais vigorosamente nos últimos dez mil anos, logo após a última grande era glacial. Os efeitos destas pressões evolutivas dificilmente podem ser registrados de forma direta e dependem da identificação de sinais encontrados em diversos sítios, bem como de uma análise criteriosa das condições imperantes nas relações entre os primeiros agrupamentos humanos. Julgamos arriscado aventar qualquer interpretação que aponte para relações unívocas entre evolução das espécies, genética das populações, estereótipos e preconceitos, sendo mais razoável supor que as pressões evolutivas se encontram na base de uma complexa maquinaria que facultou aos grupos humanos se organizarem como civilizações e a construírem a breve história de ocupação do nosso planeta.







